不饱和聚酯型聚氨酯涂料的研制*
李扬俊 邵会菊 白卫斌 林金火
(福建师范大学 化学与材料学院 福州 350007)
不饱和聚酯(UP)涂料具有强度高, 易加工, 密度低等优点, 其不足之处是固化产物收缩率高、脆性大 。聚氨酯涂料由于其固化后的涂膜具有良好的耐磨性、耐腐蚀性、耐化学品性以及弹性高等优点, 常用于金属的防腐、飞机蒙皮、家具涂装、汽车涂装、地板漆、路标漆等 。然而单一的聚氨酯涂料在耐水性、光泽、硬度等方面还不够理想。一直以来, 人们针对UP的研究主要集中在增韧 和降低固化收缩率 两方面, 而聚氨酯的改性有两种方式, 一种是通过简单的物理方法将具有互补特性的两种或多种树脂混合在一起; 另一种是通过化学方法使产品具有两种或多种体系的特性 。本文提出一种不饱和聚酯和TD I聚合,生成聚氨酯并作为涂料的方法, 即利用UP的端羟基与TDI的- NCO进行逐步聚合反应, 使得链段上既有不饱和链节又含聚氨酯基团, 从而得到室温固化、性能优良的不饱和聚酯型聚氨酯涂料。
1 实验部分
1. 1 原料与试剂
乙二醇、顺丁烯二酸酐和邻苯二甲酸酐均为分析纯; 环己酮、乙酸丁酯和二甲苯为化学纯; 甲苯二异氰酸酯( TD I)为工业级。
1. 2 不饱和聚酯型聚氨酯(UPPU )的合成
1. 2. 1不饱和聚酯的(UP)的合成
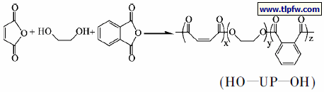
在装有搅拌器、温度计、冷凝管的三口烧瓶中加入一定量的不饱和酸酐和饱和酸酐, 氮气氛围中, 加热到一定温度后恒温, 固体物料逐步熔化后开始搅拌并加入反应所需二元醇的60% 进行反应, 同时控制蒸馏头温度不超过104ºC , 每隔1h 测一次酸值。待酸值无明显变化时, 加入剩余二元醇继续反应, 并每隔1h测酸值。当蒸馏头温度接近室温, 并酸值无明显变化时, 关氮气, 加入一定量的二甲苯于三口瓶中, 进一步回流脱水2h 后蒸馏出二甲苯, 即得具有端羟基不饱和聚酯( UP)。
1. 2. 2不饱和聚酯型聚氨酯树脂( UPPU )的合成
当上述UP树脂冷却至90ºC 以下时, 加入一定量的二甲苯、乙酸丁酯和环己酮的混合溶剂, 搅拌均匀。溶液温度接近室温时开始滴加TDI, 反应一定时间后,即得到固含量为67%的不饱和聚酯型聚氨酯溶液。
1. 3 测试与仪器
1. 3. 1常规物理机械性能: 将固含量为67% 的不饱和聚酯型聚氨酯溶液均匀涂于马口铁片上, 于室温下成膜48h后测试常规物理机械性能。涂膜的硬度、光泽度、柔韧性、附着力和抗冲击性等分别参照GB /T 6739- 1996、GB /T1743 – 1979、GB /T 1731 – 1993、GB /T1720- 1979、GB /T 1732- 1993方法进行测试。
1. 3. 2 红外光谱: 采用美国- 瑞士N ICOLET5700 FT- IR 红外光谱仪, ATR 法测试。
1. 3. 2 红外光谱: 采用美国- 瑞士N ICOLET5700 FT- IR 红外光谱仪, ATR 法测试。
2 结果与讨论
2. 1 合成原理
第一步: 含高活性端羟基UP的合成。这种UP与通用级有较大差异, 主要体现在不饱和聚酯分子量及所用二元醇的种类和用量上。为了得到一定分子量的树脂, 必须使醇过量率较低(一般不高于20% )。为了提高树脂与TDI的反应活性, 需要用伯羟基二元醇来封端, 因为在25~ 30ºC 的温度下, 仲醇的反应速度只有伯醇的0. 3倍, 叔醇仅为伯醇的0. 005倍 。
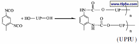
第二步: 高活性端羟基UP与TDI聚合, 生成不饱和聚酯型聚氨酯树脂(UPPU )。
2. 2 温度、反应时间对合成UP过程中酸值的影响
图1是UP合成时不同温度下酸值- 时间的关系。

由图1可以看出, 反应温度越高, 酸值下降的趋势越快。在反应初期, 酸值随时间下降较快; 3h后, 下降趋势减缓, 缩聚反应达到平衡。加入剩余醇后, 酸值又迅速下降, 最终在8h时缩聚反应达到另外一个反应平衡。
2. 3 醇酸比对涂层性能的影响
为保证UP 树脂以羟基封端, 以醇过量5% 、10%、15%、20% 作对比实验。图2是不同的醇过量率下UP树脂合成过程酸值与时间的关系。从图2中可见, 随着醇酸比的增大, UP树脂反应过程中的酸值呈减小趋势。
表1是醇/酸不同投料摩尔比对涂层性能的影响。从表1可以看出, 醇酸比对涂层的性能影响主要集中在硬度和抗冲击性上。醇酸比越大, 涂层的硬度和抗冲击性越大。这可能是, 醇酸比越大, 未参加反应的酸越少; 当加入TDI后, TD I中的- NCO基团受- COOH 影响小, 能与- OH 基团形成高分子链。实验表明, 当醇过量20% 时, 涂层性能较佳。

2. 4 饱和/不饱和酸酐比对涂层性能的影响
UP树脂合成原料中, 由于顺丁烯二酸酐中含有双键, 使得UP树脂具有良好的柔韧性, 而邻苯二甲酸酐中苯环的作用增加了树脂的刚性。本实验中,取醇过量20%, 改变苯酐/顺酐的摩尔比为9 /1、4 /1、7 /3、1 /1, 合成得到四种UP树脂。表2 为这四种树脂与TDI反应后涂膜的性能。从表2可以看出, 随着苯酐/顺酐摩尔比的增高, 硬度逐渐增大, 附着力逐渐减小, 抗冲击性先增大后减小。这可能是, 当苯环含量较少时, 树脂的刚性不足, 影响了涂层的硬度; 而当双键含量较少时, 树脂的柔韧性不够, 影响了涂层的抗冲击性。实验表明, 当苯酐/顺酐摩尔比为7 /3时, 得到的涂层性能较优。
2. 5 不同二元醇对涂层性能的影响
乙二醇、丙二醇、丁二醇、己二醇、一缩二乙二醇、二缩三乙二醇均为二元醇, 所得到的UP 树脂与TD I反应后涂膜的性能有较大差异。表3 是不同二元醇对所得涂层性能的影响。从表3可以看出, 随二元醇分子链的增长而涂层硬度逐渐变小, 抗冲击性逐渐增大。这可能是因为, 随着醇分子链的逐渐增大, 增强了涂层的柔韧性, 使得抗冲击性能不断增强。实验表明, 由乙二醇得到的涂膜性能较好。
综上反应条件可以得出, 当乙二醇:邻苯二甲酸酐:顺丁烯二酸酐摩尔比为1. 2:0. 7:0. 3, 反应温度为205ºC , 反应时间8h, 酸值在40mgKOH /g以下时,得到UPPU 涂膜性能较好, 硬度6H, 附着力1级, 柔
韧性0. 5mm, 抗冲击性35cm。
2. 6 红外光谱分析
图3是试样的红外光谱图。从图3可看出, UP( a谱线)和UPPU ( b谱线)在1720cm- 1附近都出现了不饱和聚酯的C = O 伸缩振动峰, 在1263cm- 1附近也都出现一强吸收谱带, 这两个峰都是不饱和聚酯的酯基特征峰; 3517cm- 1附近均有一处宽峰, 这是O – H 基的伸缩振动吸收峰。a 谱线在1637cm- 1处出现C = C 的伸缩振动峰, 在1405cm- 1处出现= CH的平面摇摆振动吸收峰, 970cm- 1处出现反式= CH的非平面摇摆振动吸收峰, 这说明UP树脂中存在着C= C。在b谱线中, 异氰酸酯位于2200cm- 1附近的C= N 双键的伸缩振动吸收峰消失, C = O 的振动吸收峰发生偏移, 但在1100cm- 1附近出现了C – O – C的伸缩振动吸收峰, 这是由于异氰酸酯与UP树脂发生反应使得异氰酸酯的C = N 双键被打开, 发生了端羟基( – OH )与异氰酸酯( – NCO )的缩聚反应。a谱线到b谱线中, 在1637cm- 1处出现C = C 的伸缩振动峰, 在1405cm- 1处出现= CH的平面摇摆振动吸收峰, 970cm- 1处出现反式= CH 的非平面摇摆振动吸收峰没有明显变化。由此可以得出, 在UPPU 树脂中存在着异氰酸酯基团和不饱和双键。

3 结论
( 1)采取两步法合成了一种不饱和聚酯型聚氨酯;
( 2)当乙二醇:邻苯二甲酸酐:顺丁烯二酸酐摩尔比为1. 2:0. 7:0. 3, 反应温度为205ºC , 反应时间8h, 酸值在40mgKOH /g 以下时, 得到的不饱和聚酯型聚氨酯涂膜后物理机械性能较好。