涂料涂装成本核算方法介绍

0 前 言 在实际工作中我们经常会遇到工业产品的涂装成本核算及涂装招标价格核算,由于影响工业产品涂料涂装成本的因素较多,涂装成本的组成及计算方法也比较复杂,长期以来我们对涂装成本的…

0 前 言
在实际工作中我们经常会遇到工业产品的涂装成本核算及涂装招标价格核算,由于影响工业产品涂料涂装成本的因素较多,涂装成本的组成及计算方法也比较复杂,长期以来我们对涂装成本的核算也处于估算阶段。本文从人工成本、主材料成本、辅助材料成本、运输与装卸成本、能耗成本、场地与设备折旧等方面分析了组成涂料涂装成本的几大要素及成本计算方法,明确了产品涂装成本的计算方法,以供产品涂装施工成本核算用。
 
1 涂装成本组成与计算方法
成本组成:
C=A+B+F+Y+N+S
其中:
C:单个工件涂装总成本,元;
A:单个工件总人工成本,元;
B:单个工件主材料成本,元;
F:单个工件辅助材料成本,元;
Y:单个工件总运输装卸成本,元;
N:单个工件消耗总能源,元;
S:场地成本及设备折旧,元。
1.1 人工成本
单个工件涂装总人工成本:A=(h1A1+h2A2)/0.75
其中:
A:单个工件涂料涂装总人工成本,元;
h1:涂料辅助岗位消耗人工工时,h;
A1:涂料辅助岗位工时工资,元/h;
h2:涂料喷涂岗位消耗人工工时,h;
A2:涂料喷漆岗位工时工资,元/h。
参数定义:
(1)涂料辅助岗位人工工时h1:包括涂料喷涂前的保护、除油、除锈、打磨、喷砂、酸洗、磷化等工序消耗的总有效人工工时;
(2)涂料喷涂岗位人工工时h2:喷涂所有涂料消耗的总有效人工工时;
(3)总人工工时=有效人工工时/0.75;
(4)A1、A2值随市场行情而波动,参考范围:A1≈10~20元,A2≈20~30元。
1.2 主材料成本
1.2.1 涂料按质量计算

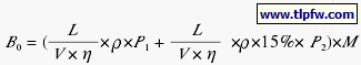
其中:B0:单涂层价格,元。
L:干膜厚度,μm或10-3mm。
V:体积固体分,%。
P1:涂料和固化剂的综合价格,元/kg。
P2:稀释剂价格,元/kg。
M:工件涂装面积,m2。
η:利用率,%。规定为:采用空气喷涂时,总加工面积≤1.0 m2,利用率平均为30%;总加工面积>1.0m2,利用率平均为35%;采用辊(刷)涂时,利用率平均为85%。
ρ:双组分涂料密度,规定为:

漆固比定义:当固化剂用量为1份质量分数时,所需要的涂料质量分数值。例:m(主漆)∶m(固化剂)=5∶2时,计算公式中的质量漆固比数值则为2.5。
1.2.2 涂料按体积计算

其中:
B0:单涂层价格,元。
L:干膜厚度,μm或10-3mm。
V:体积固体分,%。
P1:涂料和固化剂的综合价格,元/L。
P2:稀释剂价格,元/L。
M:工件涂装面积,m2。
η:利用率,%。规定为:采用空气喷涂时,总加工面积≤1.0 m2,利用率平均为30%;总加工面积>1.0m2,利用率平均为35%;采用辊(刷)涂时,利用率平均为85%。
P1为双组分涂料价格,规定为:

漆固比定义:当固化剂用量为1份体积分数时,所需要的涂料体积份数值。
例:V(主漆)∶V (固化剂)=5∶2时,计算公式中的体积漆固比数值则为2.5。
涂料施工时多为复合涂层施工,复合涂层的材料成本B为不同种类涂层价格叠加,如一个工作需要涂装底漆、中间漆和面漆时,那么复合涂层的材料成本为底漆涂层价格、中间漆涂层价格与面漆涂层价格之和。
1.3 辅助材料成本
F=f1+ f2+ f3其中:
f1:包装费用,包含气泡膜费用、气泡袋费用、防锈袋费用、自粘膜费用、塑料袋费用、纸箱费用、钙塑箱费用等,元;
f2:涂装材料,包含抛光片费用、千叶轮费用、砂纸费用、透明胶费用、纸胶带费用等,元;
f3:劳保费用,包含手套、口罩、防毒面具、工作服等,元。
一般情况下:F=(A+B)×(3%~5%)(仅供参考)
1.4 运输及装卸成本
Y=(A+B)×y0当在业主场地范围外施工时,y0=3%~5%。
1.5 能耗成本
N=(A+B)×(3%~6%)
N:总能源成本,包含水费、电费、燃气费等,元。
1.6 场地成本及设备折旧
场地租金S1=(A+B)×(3%~6%)
设备折旧等S2=(A+B)×(3%~6%)
S=S1+S2

2 涂装价格组成与计算方法

Z=C×(1+z1+z2+z3)
其中:
C:总涂装成本,元;
z1:涂装管理费,5%;
z2:涂装利润,10%~15%;
z3:增值税及地税税金,10%。
 
3 结 语
以上的涂装成本分析是建立在批量涂装作业的基础上进行的,涂装工件数量太少,成本也会相应增加,甚至不适合使用上述方法进行成本核算,同时文中涉及的一些数据随着行业不同、时代发展而变化。在此笔者通过抛砖引玉,介绍一种涂装成本的计算方法,供各位同行参考。

为您推荐

返回顶部