丙烯酸酯乳液增稠剂的改进

1  前言 丙烯酸酯乳液增稠剂是采用丙烯酸乙酯与甲基丙烯酸在过硫酸铵作引发剂,十二烷基硫酸钠作乳化剂,苯二甲酸二丙烯酯作交联剂的条件下于84~86 ℃进行乳液共聚反应而制备的。其增…

1  前言
丙烯酸酯乳液增稠剂是采用丙烯酸乙酯与甲基丙烯酸在过硫酸铵作引发剂,十二烷基硫酸钠作乳化剂,苯二甲酸二丙烯酯作交联剂的条件下于84~86 ℃进行乳液共聚反应而制备的。其增稠机理如下:
加入电解质氨水,可引起甲基丙烯酸电离为- COO- ,据同性电荷相斥的原理,可引起大分子链由卷曲无规状排斥为伸直链,其内包含有大量的水分,从而达到增稠的目的。该增稠剂本身粘度很低,但具有很大的增稠能力,能以任意比例与水混溶,可使各种乳液(阳离子乳液除外) 迅速增稠,具有用量少、使用方便的特点。能代替A 帮浆,适用于涂料印花,实现无火油涂料印花,还可以广泛用于皮革涂饰、涂层地毯背胶、造纸、建筑涂料工业中的增稠浆点法,无纺衬布的调浆,提高作业性。
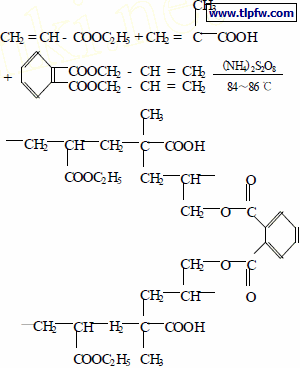
2  实验部分
2. 1  原料
丙烯酸乙酯、甲基丙烯酸、十二烷基硫酸钠、
苯二甲酸二丙烯酯(均为工业品) ,过硫酸铵(化学
纯) 及去离子水。
2. 2  实验过程
本过程反应式如下:


在实验中,主要对共聚反应的方式、反应温度、滴加速度以及乳化剂、引发剂的用量进行了选择性实验,结果如下。
(1) 乳液共聚反应采取种子聚合的方式进行,全部预乳液放出30kg 于反应釜中进行种子聚合。原工艺放出60kg ,形成的反应活性中心太多,容易引起大分子链的早期终止,分子链短,增稠效果不好,且一次回流过大,工艺上不好控制,改为30kg 以后,反应比较平稳,且延长了链增长的时间,使得大分子链比较长,保水性能好,增稠效果明显。
(2) 反应温度控制在84~86 ℃之间,低于此温度,共聚反应速度缓慢,有些物料未起反应,若后期温度升高,则物料同时反应,将放出大量的聚合热,促使温度进一步升高,形成爆聚窜料,产品将出现比较大的颗粒,结块,糊网。故开始滴加乳液时,就一定要控制在84~86 ℃之间,使乳液一滴入反应釜内,在被搅拌扩散的同时,即发生聚合反应,放出的热量又被重新滴入的冷料吸收,从而发生反应,使得热量平衡,温度均匀一致,反应平缓进行,最后所得产品颗粒就会小。滴加过程中,若温度下降至84 ℃以下,则需停止滴加乳液,待上升至84 ℃以上时再继续滴加。
(3) 滴加速度为2~2. 5h 加完,滴加速度过快,反应不均衡;过慢,浪费工时,经多次实验确定2~2. 5h 为宜。
(4) 按原配方在预乳化后,放出预乳液时,发现有轻微油水分层现象,可能是乳化剂十二烷基硫酸钠用量少所致,十二烷基硫酸钠的用量由0. 45 %增加至0. 50 % ,可达到满意的效果。
(5) 按原配方生产的增稠剂增稠后粘度比较低,平均粘度在18Pa·s ,并经常有不合格产品(粘度小于18Pa·s) 出现,可能是由于引发剂用量较多,使正在增长的大分子链发生终止反应,致使分子量下降粘度降低,可酌情减少引发剂过硫酸铵的用量,由0. 075 %减为0. 062 %为宜。
(6) 因为反应条件的改变,引起了大分子结构上的变化,几项反应条件的改变,其目的都是在于使正在增长的大分子链不发生早期终止,使链增长的更长一些,分子量更大一些,这样保水性能才会好,增稠后的粘度就会提高。

3  结果与讨论
通过以上实验部分可以得出如下结论:
(1) 丙烯酸酯乳液增稠剂采用种子乳液聚合,做“种子”的打底液量要少。(2) 反应温度控制在84~86 ℃之间。(3) 滴加速度为2~2. 5h 加完。(4) 乳化剂用量为投料量的0. 5 %。(5) 引发剂用量为投料量的0. 062 %。通过以上改进,车间进行了试生产,共投料11 批,粘度( Pa·s) 分别为: 50 ,30 ,20 ,45 ,26 ,52 ,33 ,34 ,39 ,28 ,32 。平均粘度达到了35Pa·s。改进前车间生产情况,以12 批产品为例,粘度(Pa·s) 分别为:12 ,22 ,28 ,10 ,15 ,22 ,17 ,24 ,17 ,23 ,21 ,16 。平均粘度为18Pa·s ,另外有6 批不合格品出现。由此可见,比改进前粘度提高了近一倍,效果十分显著。

为您推荐

返回顶部