水性聚氨酯分散体干燥过程

水性聚氨酯分散体干燥过程 王武生(安徽大学水基高分子研究中心,合肥安科精细化工有限公司,合肥230039) 0 引言 终端用户很少直接使用水性聚氨酯分散体,最终被用户使用的是水性聚…

水性聚氨酯分散体干燥过程
王武生(安徽大学水基高分子研究中心,合肥安科精细化工有限公司,合肥230039)

0 引言
终端用户很少直接使用水性聚氨酯分散体,最终被用户使用的是水性聚氨酯分散体干燥后的漆膜,涂层和被水性聚氨酯分散体粘合的材料。水性聚氨酯分散体转化为最终被用户使用的漆膜,涂层和粘合层必须经过一个干燥成膜的过程。单一针对水性聚氨酯分散体的干燥和成膜过程研究不多,实际上水性聚氨酯分散体的干燥与成膜过程与其他乳胶和分散体并无太多不同,只是水性聚氨酯分散体的某些特征表现得更为突出。本文先解释一点乳胶或分散体干燥和成膜的基本理论,而后应用这些基本理论解释和论述水性聚氨酯分散体干燥和成膜的特性。由于干燥和成膜理论涉及太多模型和复杂的理论公式推导,而这些模型和理论过于复杂,我们这些化学研究者也不需要去研究这些模型和理论,需要的只是了解这些理论的基本知识和通过公式复杂计算获得的最终结论,以及这些结论去指导和解决实践中遇到的问题。因此本文将省略所有公式推导,简单介绍理论的数学模型和结论,重点介绍怎样用这些理论解决实践中遇到的问题。
 
1 分散体干燥理论
1.1 纯水挥发
水的挥发可以说是一个极为常见也极为简单的现象。但是这类简单的现象也会涉及到复杂的理论。关于水的挥发简单定义几个概念,首先所谓水挥发是指液体水转化为气态的过程,在这里所说的挥发是指非沸腾状态下的水挥发,是一种表面挥发,是水分子从液体水表面逃逸进入其外部空间环境的过程。此时还可以定义挥发速度E 这个概念,水挥发速度指水分子在单位表面,单位时间挥发进入空气的量。我们也可采用另外一种方式定义水分挥发速度E ′。E ′指因水挥发而造成界面下降的速度。根据物理定义这两个概念的关系是E ′=E /ρ,而对于纯水,ρ=1,因此对于纯水,E=E ′。水分子从液体挥发进入空气需要能量,定义单位质量水挥发进入空气需要的热量为水挥发潜热(Latent heat of vaporisation of water)。
水的挥发与其他液体如有机溶剂挥发本质是相同的,但水挥发有2 个特别之处,其一是水的挥发潜热特别大,达到2 260 J/g。相比沸点相近的有机溶剂如甲苯,其挥发潜热仅367 J/g,水的挥发潜热为甲苯的6 倍多,即水挥发需要更多的热量。由于水的挥发潜热特别大,有人做过粗略计算,假设100 g 40%含固量的高分子分散体在绝热环境中干燥,60 g 水完全挥发,剩余40 g 涂料需要下降350℃以提供水分挥发需要的热量。当然在现实中不可能观测到如此大幅度降温,环境可以补充水分挥发带走的热量,随着水分挥发,涂层温度略低于环境温度,环境将热量传递给涂层,最终达到一种温度平衡。水挥发第二个特别之处在于大气环境中本身就有水蒸气的存在,已经存在一个水蒸气压,而大气环境中一般不会出现相应的溶剂蒸气压。水的蒸气压的存在会影响水分挥发,当外界水的蒸气压达到饱和时,水的挥发甚至会停止。对于水的挥发理论,从不同角度观察可以有不同的理论模型,如以从分子运动角度建立模型,考察水分子获得能量从水界面逃逸的过程,不同模型理论可以适合解释不同的现象。对于我们关心的水性分散体干燥过程,更愿意采用水分挥发界面层扩散模型。
水分挥发界面层扩散模型(见图1)认为水分子挥发进入空气,其液气界面的蒸汽压达到水的饱和蒸气压,水气界面上方存在一个高度为Lb 的边界层,边界层上部水的蒸气压与大气环境水蒸气压相同,在边界层内,随着高度增加从界面的饱和蒸气压线性降低到外部环境水的蒸气压。水的挥发速度决定于水分子扩散通过此边界层的速度。
水分挥发边界层模型

根据边界层扩散模型,通过复杂的扩散理论可以计算出水的挥发速度,并可以通过实验数据计算出在完全静止空气中边界层厚度一般在5 mm 左右。水的挥发速度与温度有关,温度越高,水分子扩散通过边界层速度越快。水的挥发速度与水的饱和蒸气压与大气水的蒸气压差有关,水蒸气压差越大挥发速度越快,当然水的饱和蒸气压又与温度有关,提高温度可以提高水的饱和蒸气压,但环境大气中水的蒸气压不会因温度提高而提高,因此提高温度可以提高水的饱和蒸气压与环境水蒸气压差的值。水的挥发速度还会受到空气流动的影响,空气流动可以干扰边界层厚度,微小的空气流动都可以提高水挥发速度。有人发现实验室门的开关与否,对水的干燥速度都会产生极大的影响。
1.2 水性分散体的水分挥发
早在20 世纪70 年代,Vanderhoff 等(1973 年)采用最简单的称质量方法测定乳胶水分挥发速度。发现乳胶水分挥发可以分为3 个阶段。首先是一个匀速挥发阶段,而后紧跟一个减速挥发阶段,最后是一个逐步渐进到挥发速度为0 的缓慢挥发阶段。
Vanderhoff 等发现的乳胶挥发3 阶段

而后在20 世纪80 年代后期,Croll 等(1986~1987)发现有些乳胶干燥只存在2 个阶段,匀速阶段和慢速阶段。
Croll 发现的乳胶干燥2 阶段现象

Vanderhoff 发现的乳胶干燥过程3 阶段现象和Croll发现的2 阶段现象在分散体干燥过程中都是存在的,其中关键差别是干燥过程中分散体表面是否存在“结皮”现象。Vanderhoff 发现的乳胶干燥过程3 阶段现象实际上是乳胶干燥过程中出现了“结皮”现象,在乳胶干燥初期,其表面未出现“结皮”表现为一种匀速挥发,其后随着挥发进行乳胶粒子在表面浓缩堆积形成了致密薄膜,水分需要通过这层薄膜才能挥发进入空气,挥发速度下降,随着干燥的进行,表面膜越来越厚,水分挥发速度越来越低,直至“结皮”直达基材,其后干燥进入极慢速阶段,残留水分挥发。而Croll 发现的乳胶干燥2 阶段现象是乳胶干燥过程中未出现“结皮”现象,水分以接近纯水挥发速度挥发。这种阶段直至乳胶浓缩达到临界浓度,乳胶粒子形成紧密堆积。其后水分挥发进入慢速阶段。
1.3 分散体垂直干燥现象及理论
在分散体干燥过程中,由于水分仅能从其表面挥发,挥发结果一定会造成某些区域浓缩形成浓度不均现象。乳胶干燥实验发现,乳胶干燥过程中粒子产生不均匀分布既可出现在垂直方向也可以出现在水平方向。出现在垂直方向上的不均匀现象称为垂直干燥,而出现在水平方向上的不均匀现象称为水平干燥。垂直干燥是乳胶干燥中必定存在的一种现象,图4 是乳胶垂直干燥示意图,随着水分从表面挥发,粒子在乳胶表面会产生浓缩现象。
垂直干燥示意图
伴随粒子在表面浓缩,随之产生了粒子从高浓度向低浓度扩散的趋势,因此在乳胶干燥过程中出现两个竞争的时间尺度,其中一个时间尺度涉及到湿态膜厚为H 的乳胶干燥时间tevap,另一个时间尺度涉及到表面粒子扩散到基材需要的时间tdiff。简单地说就是因水分挥发粒子在表面浓缩和粒子从浓缩表面扩散到未浓缩区域的竞争。Peclet提出了一个所谓的Peclet 值的概念Pe,它是干燥过程中粒子从表面扩散到基底需要的时间和薄膜干燥需要的时间的比值。

当Pe>1 时,表明粒子在表面浓缩速度大于扩散速度,表面会出现“结皮”现象,产生干燥3 阶段现象。而当Pe<1时,粒子的扩散速度大于粒子在挥发表面的浓缩速度,干燥过程一直维持基本均匀浓缩直至达到临界紧密堆积状态,干燥表现出2 阶段现象。

从扩散理论建立数学模型可以推导出:

其中μ为水相黏度,R 为乳胶粒子粒径,H 为膜厚度,E 为干燥速度,K 为气态常数,T 为绝对温度。
从公式可以看出,增加黏度,增加乳胶粒径,增加膜厚和加快干燥速度,都会使得Pe 值提高,加重干燥过程中表面“结皮”现象。此结论应该较好理解,黏度增加会减缓粒子从浓缩区域向其他区域扩散速度。粒径增加会缓慢粒子扩散,厚度增加会加大粒子扩散距离,干燥速度增加会加快粒子表面浓缩速度,至于温度的影响从公式上看应该是提高温度会降低Pe 值,但需要考虑的是温度一般还会影响水分挥发速度。如果将温度对挥发速度的影响考虑进去,温度对Pe 的影响会变得比较复杂。在乳胶干燥中常常会出现欲速而不达现象,人为提高分散体干燥速度结果造成分散体表面结膜,最终还会使得干燥速度下降。
1.4 分散体水平干燥现象及理论
在实践中常常可以观察到乳胶干燥过程中水平方向不均匀现象。在实验室中较为常见,将分散体倒在玻璃板上,过一段时间可以发现周边已经干燥,而中心部位还是可以流动,干燥部分和未干燥部分界线分明且厚度明显差异,随着干燥进行,干燥和未干燥界线向前推进,最终与另一边推进的界线相遇,膜完全干燥。科学家仔细观察这种现象,发现干燥和未干燥界线实际上是两条,干燥前锋(drying front)和粒子组装前锋(packing front),见图5。
分散体水平干燥现象

科学家感兴趣的是为何会产生这种水平干燥的现象,将乳胶或高分子分散体倒在玻璃板上时,由于表面张力作用其乳胶边缘出现圆弧现象,边缘较薄,见图6。
倒在玻璃板上的分散体由于表面张力形成边缘较薄现象

假定分散体水分挥发只与表面积有关,也就是说不管膜厚如何,其水分挥发速度相同,此假定符合实验观察到的现象,前面谈到分散体干燥过程中3 阶段和2 阶段现象,不管是3 阶段还是2 阶段,都有一个匀速阶段,也就是说水分在此阶段水分挥发速度与分散体浓度无关,随着水分挥发其浓度增加但挥发速度不改变。在理论上,假如乳胶表面不管浓度如何,表面完全覆盖水分,就应该有相同的挥发速度。由于水的表面张力,乳胶表面确实存在这层水膜,即使有乳胶粒子进入表面,其乳胶粒子表面还是被水分覆盖。假定水分挥发速度与膜厚无关,其结果是涂膜薄的地方乳胶浓度浓缩速度快于膜厚的地方。膜边缘快速浓缩,快速浓缩的边缘和慢速浓缩的中心形成水分含量的梯度,含量差异造成水分从含水量高的中心向水分含量低的边缘迁移扩散,水分的迁移还会携带粒子,粒子在组装前锋就被阻挡而在组装前锋堆积,而水分进入组装区在此区域继续挥发。随着粒子在组装前锋的堆积,粒子组装前锋向前推进,而水分在粒子组装区域扩散能力有限,随着粒子组装前锋的推进,干燥前锋也随之推进。形成了这种水平干燥现象。
水平干燥现象不仅仅是在因表面张力造成边缘变薄时会产生,在涂装过程中厚薄不均时也会产生这种水平干燥现象。垂直干燥和水平干燥是乳胶干燥时的两个侧面,两种干燥模式不是非此即彼的关系,由于水分是从乳胶表面挥发,因此垂直干燥模式是一定会产生的,至于水平干燥是在涂层存在边缘或厚薄不均时出现。实际干燥过程中大多是同时进行两种模式的干燥。
在谈到水平干燥现象时,顺便提及一个概念,乳胶或分散体施工时的开放时间(open time or lapping time)。工程上通常指涂层边缘开始干燥的时间。在工程上常常要进行大面积涂装,涂装工人一般会分块施工,这就产生了一个问题,假如前期施工部分边缘出现干燥,后期施工部分和前期施工部分就会产生接缝现象,影响涂装外观,因此后续部分施工必须在前期施工部分的边缘出现干燥之前进行。这种前期施工部分容许后期再施工的时间就是开放时间(open time)。科学家根据水平干燥理论建立的开放时间的理论公式,定义了一个毛细压降低参数Pcap。Pcap 值越大,开放时间越长。建立数学模型可以计算出毛细压降低参数Pcap。
其中γ为乳胶表面张力,H 为湿涂层厚度,Kp 为水在粒子组装区域的扩散系数,μ为水相黏度,E ′为干燥速度,R 为乳胶粒径,L 为毛细长度,指的是因表面张力使得分散体湿膜边缘变薄区域长度。
从式(3)可以看出厚涂和降低干燥速度都可以延长开放时间,增加水相黏度会缩短开放时间,而粒径对开放时间影响比较复杂,从公式上看减小粒径应该会延长开放时间,但是水在粒子组装区域的扩散系数也与粒径有关,通常来说粒径越小造成水的扩散系数也越小。因此减小粒径会因减小水的扩散系数而缩短开放时间,两种因素相互竞争使得粒径对开放时间的影响变为不确定。表面张力对开放时间的影响也是不确定,毛细长度与表面张力也有关。
 
2 分散体稳定性对干燥的影响
分散体或多或少都含有一定量的电解质,电解质的浓度会影响分散体的稳定,而在干燥过程中电解质通常不能随水分挥发,因此干燥过程中残留在分散体中的电解质会产生浓缩现象,假如电解质浓缩到一定浓度会破坏分散体稳定,就会造成干燥后期分散体出现凝聚。凝聚的出现会造成涂层表面粗糙涂层产生孔洞而浑浊不透明。干燥过程中分散体的不稳定现象还会因为分散体浓缩而加剧,随着分散体越来越浓,分散体粒子越来越接近。浓度因素会压迫分散体的双电层相互接近。大家从分散体稳定理论知道,分散体粒子间作用力是双电层相互排斥和范德华力相互吸引两种力共同作用的叠加。最大排斥力出现在粒子相互接触前,当分散体浓缩粒子被挤压到出现最大排斥距离后,进一步挤压粒子就有可能表现为相互吸引而出现凝聚,电解质的存在会改变这个最大排斥力距离。
 
3 分散体干燥时产生的应力及应力造成的涂层开裂现象及理论
分散体干燥过程中产生应力及应力造成开裂现象是分散体干燥过程中的普遍现象。应力的产生原因一般认为是由于毛细压和体积收缩。毛细压形成的应力出现在分散体粒子形变阶段,体积收缩在水相聚氨酯分散体中较为严重,一般出现在粒子形变后期。
研究者通常采用所谓的膜弯曲方法(membranebending)研究分散体干燥时的应力分布,其原理是将分散体涂覆在软基体上,由于应力形成造成软基材弯曲,通过物理方法测定基材弯曲程度确定应力分布。
3.1 毛细压产生的应力
毛细压产生应力出现在粒子变形阶段。应力在垂直干燥和水平干燥都会出现,但研究者通常采用水平干燥观测应力出现及变化,因为水平干燥应力在水平方向分布容易被观测。图7 是研究者采用基材弯曲方式观测到的二维圆形分散体涂膜应力分布状况。
分散体干燥过程中应力分布变化
假如分散体因应力产生裂纹的话,裂纹通常是一些平行线,并出现一个裂纹前锋,且裂纹前锋位于粒子组装前锋之后,裂纹前锋跟随粒子组装前锋推进而推进。
裂纹为平行线,开裂前锋位于组装前锋之后

出现这种现象的合理推理是应力产生于粒子堆积区域,在保持液体状态的稀乳胶区域没有应力,而干燥区域由于粒子形变或裂缝产生使得应力释放也无应力。学者基本同意此时应力是由于毛细管压力形成,在粒子组装区域,由于粒子已经形成紧密堆积,水分的挥发,使得水的界面低于粒子堆积高度,此时水会在粒子间形成的毛细管中形成弯曲界面,这种弯曲界面形成的表面张力会将粒子相互拉近,形成应力。
9 水在粒子形成的毛细管中形成弯曲表面,表面张力产生应力
其后在论述分散体成膜过程中粒子形变时还会涉及到这种毛细管压力,实质上正是这种力产生了粒子形变。假如粒子的剪切模量较低,小于毛细管压力,粒子将会产生形变来释放这种应力,可以获得均匀无裂痕涂膜,假如粒子剪切模量较大,毛细管压力不足于使粒子变形以释放应力,涂膜只有形成裂痕以释放应力。在水平干燥过程中,一旦裂纹形成,裂纹前端就会形成应力集中点,新的裂纹一定会在应力集中点发展,就像折断一根有裂痕的筷子,断裂处一定是在裂痕处。新的裂纹跟随粒子组装前锋推进就形成一系列平行裂纹。必须强调的一点是毛细压引起的应力在水平干燥和垂直干燥都存在,但应力引发的开裂现象却在水平干燥过程中较为常见,在垂直干燥过程形成应力的表面与不能收缩的基体之间有一层可以流动的液体存在,收缩应力可以通过液体滑动而释放,通常不会形成涂膜开裂但应力的不均匀会引起涂膜表面起皱。水平干燥和垂直干燥应力形成机理是完全相同的,都是毛细管压力造成的,只是表现形式不同而已。
研究发现相同的分散体涂膜是否开裂,与涂膜厚度有很大关系,涂层厚时会产生开裂现象,随着涂层厚度降低,开裂现象越来越轻微,当涂层厚度降低到某一数值后,涂层不再出现开裂现象,这一厚度研究者将其定义为临界开裂厚度CCT(Critical Cracking Thickness),CCT 在一定程度上可以表征分散体的抗干燥开裂性能,CCT 值越高说明分散体可以获得越厚的无裂纹涂层,其抗干燥开裂性能越好。
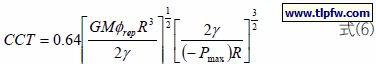
Tirumkudulu 等建立一个数学模型计算出临界开裂厚度与其他因素的关系,其计算结果如下:

其中σc 为形成开裂的临界张力,G 为分散体粒子剪切模量,M 为协同参数,φrep 为粒子随机紧密堆积体积分数,R 为分散体粒径,γ为分散相水与空气界面张力,h 为开裂时膜厚度。
对于分散体粒子,会出现两种极端状况需要分别进行讨论,第一种状况是分散体粒子剪切模量较低,粒子可以变形,上式通过简化可以获得临界开裂厚度公式:
也就是说,当粒子易于变形时,临界开裂厚度与粒子剪切模量成反比,剪切模量越低,则获得的无裂纹涂层越厚。临界开裂厚度还与表面张力成正比,按理说表面张力越大形成的干燥应力越大,涂层越易开裂,但是鉴于粒子很易形变释放应力,表面张力越大给与粒子形变的力也就越大,还有一个有意思的结论是涂层是否开裂与分散体粒径无关。
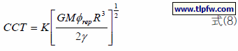
对于粒子剪切模量较高的体系,粒子形变需要的应力超过了毛细管压力,粒子仅能有限形变,此时获得的涂层粒子间可能出现微小空隙,需要说明的是微小空隙不是开裂,完全可以获得不具有粒子形变能力的无机颜料分散体的均匀膜,虽然微观颜料粒子间存在空隙。开裂是指宏观的薄膜断裂现象。对于粒子剪切模量较高的体系,计算获得的临界开裂厚度公式为:

其中Pmax 为最大毛细压力,它与粒径、粒子表面性质及表面张力等有关:

其中θ为粒子表面与水的接触角,φrep 为随机紧密堆积的体积分数,对于确定体系,接触角和随机堆积体积分数(理论为0.64)都是确定的,因此式(7)中后一项为一常数,合并0.64 与此常数,公式(6)简化为:

其中K 为常数,式(8)表明临界开裂厚度与分散体粒子剪切模量的平方根成正比,与粒径的1.5 次方成正比,与表面张力的平方根成反比。
有人测定各种硬度较高的高分子分散体,无机颜料分散体的临界开裂厚度,然后将临界开裂厚度与分散体(GMφrepR 3/2γ)1/2 作图,得到一条直线,见图10,从实践上证明式(8)的正确。
临界开裂厚度与分散体的参数之间的关系

图10 中丙烯酸乳液选择G 为0.8 Gpa,2R 分别为82nm、133 nm、206 nm、353 nm;聚苯乙烯-丁二烯乳液G为1 Gpa,2R 为250 nm;硅分散体G 为31 Gpa,2R 为22和330;铝分散体的G 为156 Gpa,2R 分别为230 nm、379nm、458 nm、489 nm;聚苯乙烯乳液的G 为1.6 Gpa,2R 为300 nm;锆分散体的G 为81 Gpa,2R 为200 nm。Tirumkudulu 比较成功因为它很好地符合了实验结果,实验证实了粒子剪切模量低时临界开裂厚度与剪切模量成反比,粒子剪切模量高时,临界开裂厚度与粒子剪切模量的平方根成正比的结论,如图11。
临界开裂厚度与粒子剪切模量的关系

3.2 分散体开裂的体积收缩因素
分散体干燥时粒子的体积收缩引起膜收缩也会产生应力,分散体干燥时粒子体积是否会收缩要看粒子内部是否含有可挥发组分,如结合水、溶胀的有机溶剂。在干燥后期这些在粒子内部的组分挥发,会造成粒子体积缩小而引起膜体积收缩产生收缩应力。水性聚氨酯分散体粒子内存在结合水现象,影响水相聚氨酯分散体干燥过程中收缩引起的应力特别严重。
 
4 水性聚氨酯分散体干燥过程的特殊性
水性聚氨酯分散体与其他分散体或乳胶在结构上最大区别是水性聚氨酯分散体粒子内存在大量结合水。为其后论述方便,先将水性聚氨酯分散体的粒子结构简单说明一下。
(1) 聚氨酯分散体结构中的亲水基团主要分布在粒子表面,但亲水基团不是单分子层分布在粒子表面,而是分布在表面层;
(2) 亲水基团分布的表面层在分散状态下溶胀水形成边界层,边界层厚度与亲水基团含量有关,亲水基团含量越高边界层越厚,甚至可以达到粒子核心;
(3) 在粒子核心亲水基团含量和水溶胀率最低,越接近粒子表面亲水基团含量和水溶胀率越高,在粒子表面亲水基团含量和水溶胀率达到最大值;
(4) 光散射测定结果表面粒子内结合水最高可达60%~85%,一般水性聚氨酯分散体在20%~50%范围。水性聚氨酯分散体粒子结构模型示意图见图12。
水性聚氨酯分散体粒子结构模型示意图
4.1 水性聚氨酯分散体粒子内结合水对干燥的影响
在探讨水性聚氨酯分散体干燥过程的特殊性之前,先观察水性聚氨酯分散体干燥的一些实验结果。测定水性分散体干燥速度的最简单方法是通过称量法测定分散体在一定条件下的失质量而计算分散体干燥速度。图13 是相同含固量的水性聚氨酯分散体与参照水性丙烯酸酯乳液的干燥速度比较。
相同含固量的水性聚氨酯分散体与参照水性丙烯酸酯乳液的干燥速度比较

从图13 看出,水性聚氨酯分散体干燥呈现3 阶段,参照聚丙烯酸酯乳液干燥呈现2 阶段,且水性聚氨酯分散体干燥速度一直低于参照的聚丙烯酸酯乳液。出现这种干燥过程缓慢的原因是水性聚氨酯分散体粒子内含有大量的结合水。在讨论水性聚氨酯分散体粒子内结合水对干燥影响之前,先明确两个观点。其一是聚氨酯分散体粒子内的水是通过氢键与聚氨酯亲水基团缔合,粒子内部的水是一种结合水而不是游离水,这种结合水不能像挤去海绵中的水一样用机械方法除去,结合水的挥发速度远小于游离水。其二是结合水实质上是构成分散体内相的物质,通俗来说粒子内的结合水是“含固量”的一部分。当然结合水和分散相水分一样最终会完全挥发。
基于以上两种概念,可以将水性聚氨酯分散体的干燥分为两个阶段,第一阶段,将水性聚氨酯分散体看成聚氨酯与其结合水构成的水合高分子分散于水中的分散体,它与普通分散体干燥过程一样,分散相游离水挥发,构成分散质的聚氨酯水合物成膜,获得水合聚氨酯膜;第二阶段是含结合水高分子薄膜,进一步干燥。
水性聚氨酯分散体干燥的第一个阶段是分散相游离水分的挥发,此时将结合水看成分散质,游离水分的挥发与普通分散体就没有什么不同了。需要强调的是将粒子内结合水看成分散质后,比如表观含固量为30%的聚氨酯分散体粒子内溶胀50%结合水,其理论分散质(包括结合水)含量是45%。可以想象一下,30%含固量和45%含固量的分散体干燥有何不同,对于大多分散体,快速挥发和慢速挥发的转化点基本处于形成随机紧密堆积,对于单分散球体颗粒,理论随机堆积密度为64%,实际分散体随机紧密堆积密度一般在0.6~0.7。形成紧密堆积之前分散体处于流动状态,有较快的干燥速度,而形成紧密堆积后,分散体失去流动性,水分需要扩散通过紧密堆积区域才能挥发,挥发速度较慢。也就是说对于100 g 30%含固量分散体,需要挥发53.125 g 水才能达到随机紧密堆积系数0.64,而对于100 g 45%含固量分散体仅需挥发29.687 5 g 水就可以达到紧密堆积。
可以从另外一个角度分析这种现象。对于不含结合水的高分子分散体,达到随机紧密堆积的空间堆积分数为0.64,假定高分子密度也为1 g/cm3,紧密堆积时含固量应该为64%,而对于含有结合水的聚氨酯分散体,其随机紧密堆积空间堆积分数也为0.64,问题是堆积球体的构成是66.6%高分子,33.3%水,假定其密度也是1 g/cm3,那么形成紧密堆积时分散体表观含固量仅有42.6%。也就是说,普通30%含固量分散体干燥到64%时出现紧密堆积,而对于含有结合水表观含固量也为30%的聚氨酯分散体,表观含固量达到42.6%时就已经出现紧密堆积了。粒子内结合水的存在还会改变分散体干燥过程,结合水的存在会增加分散体粒子粒径,增强粒子间的相互作用,降低粒子剪切模量。粒径的增加会降低粒子的扩散能力,粒子间相互作用增加会提高分散体黏度,剪切模量下降增加了粒子融合可能性。这3 个因素都使得分散体在干燥过程中表面易于形成致密薄膜,前面已经讨论过,由于分散体干燥过程中出现表面“结皮”现象会使得分散体干燥出现3 阶段现象。“结皮”使得分散体干燥变得缓慢。水性聚氨酯分散体干燥第二阶段是结合水挥发阶段,此阶段在其他分散体干燥过程中不一定出现。通常内乳化水性聚氨酯分散体的结合水含量为聚氨酯量的10%~50%,有些特别亲水性高的分散体甚至可以高达80%。结合水挥发比游离水挥发要困难得多。因此此过程一般缓慢而漫长。
在实际应用中,应用工程师往往感觉水性聚氨酯分散体的成膜速度非常快,丝网印刷时极易在丝网上成膜而堵塞网眼,用指头搓磨水性聚氨酯分散体很快可以搓出绳状物来,给人造成水性聚氨酯分散体干燥速度快的感觉,也有人认为水性聚氨酯分散体耐机械稳定性不高。其实水性聚氨酯分散体机械稳定性非常好,大家知道机械稳定性是于机械剪切作用使得分散体粒子表面的乳化剂脱离引起的不稳定现象,水性聚氨酯分散体采用内乳化工艺生产,粒子表面的“乳化剂”是通过化学键连接在聚氨酯分子结构中,不可能被剪切而脱离。应用工程师所感觉的干燥快、机械稳定性差实际上是前面谈及的“开放时间”问题,含有结合水的聚氨酯分散体表观含固量不高,但实际含固量(将粒子内结合水看作分散质的构成时)可能比表观含固量高很多,干燥时很快就可以达到粒子紧密堆积状态,且水的溶胀造成分散体粒子相互作用增加,粒径加大,黏度增加,表面涂层边缘或易于形成失去流动的致密结构,也就是说水性聚氨酯分散体的开放时间较短。迅速形成的致密薄膜会堵塞丝网,在指头上磋磨时也会形成绳状物。
4.2 水性聚氨酯分散体粒子内结合水对干燥开裂的影响
4.2.1 粒子内结合水对毛细管压力引起的开裂的影响
同样将结合水看成分散质的一部分,在分散体挥发干燥第一阶段分散相水挥发过程中,水性聚氨酯分散体形成的毛细管压力与应力与其他分散体干燥也没有什么不同,但分散体中结合水对分散体粒子的溶胀首先改变了分散体粒子的剪切模量使得分散体粒子更加柔软易于变形。其次水的溶胀会增加分散体粒子的粒径,这两方面原因都会对毛细压力引起的涂层开裂产生影响。采用Tirumkudulu 从理论和实验获得的结果,讨论水性聚氨酯分散体干燥过程中毛细压力引起的涂层开裂状况。首先当分散体成膜较软,分散体分子结构成线性,此时分散体粒子剪切模量较低,Tirumkudulu 从理论和实践都证实毛细压力引起的涂层开裂与分散体粒子剪切模量成反比。此时分散体粒子内的结合水会更进一步降低分散体粒子的剪切模量,特别是结合水大部分处于粒子表层,因此粒子表层更易形变而在成膜时释放应力,因此软性水性聚氨酯分散体成膜因毛细管压造成的薄膜开裂较为少见。
当分散体成膜较硬时,或分散体出现高度预交联时,分散体粒子的剪切模量较高,根据Tirumkudulu 理论,此时分散体抗开裂性能与分散体粒子剪切模量的1/2 次方成正比,与粒径的3/2 次方成正比,由于分散体粒子内出现结合水,分散体粒子剪切模量下降,会增加开裂可能性,但结合水造成的粒径增加又会降低开裂可能性,综合因素看,当分散体粒子剪切模量较高时结合水的存在还是会降低分散体因毛细压力引起的开裂现象。硬性或高度交联的水性聚氨酯分散体在成膜过程中出现因毛细压力引起的涂层开裂的现象是存在的,毛细压力引起的开裂大多出现在水平干燥过程,垂直干燥过程因表面致密膜与不能收缩的基材间存在处于流动状态的分散体而使得应力释放较少出现开裂。水平干燥裂纹一般会呈现一系列平行条纹,这是毛细压力造成涂层开裂的基本特征和判断标准。如果你的水性聚氨酯涂层出现这种有规则的开裂,就可以将这种开裂归属于毛细压力引起的开裂,上面理论可以帮助你解决这种开裂问题。比如加入成膜助剂,大幅降低粒子剪切模量,将模量范围降低到Tirumkudulu 理论中低模量区域。作为一种环保材料,成膜助剂使用量是有一定限制的,有些硬性和高度交联分散体即使加入大量成膜助剂还是未能将剪切模量范围降低到低模量区域,此时可以应用高模量区域理论,我们在实践中有一个成功案例,有一个硬度较高的水性聚氨酯分散体成膜时出现规则开裂,明显是毛细压力引起的开裂,但加入成膜助剂使得涂层干燥速度过慢达不到客户要求,Tirumkudulu 理论指出此时抗开裂性与粒径的3/2 次方成正比,与表面张力的1/2 次方成反比,通过改变合成配方在不改变涂膜硬度时增加分散体粒径,在分散体中添加高效表面张力降低剂(润湿剂)降低分散介质表面张力,在不添加成膜助剂前提下很好解决了涂膜开裂现象。
4.2.2 结合水挥发造成的体积收缩造成应力引起薄膜开裂
在从事水性聚氨酯分散体研究的多年实践中发现水性聚氨酯成膜开裂大多出现在成膜后期,且开裂不是毛细压力造成裂纹的特征规则条纹,而是产生学界定义的分级开裂(Hierachical crack),分级开裂的裂纹特征如图14。
分层开裂裂纹特征
分级开裂的特征是裂纹是先后产生,裂纹形成后沿着一定方向发展,后形成的裂纹发展遇到先形成的裂纹后被终止,其结果是形成一系列空间分割图案,并出现等级特性,所谓等级特性是指裂纹在长短宽窄方面产生等级现象,前期形成的裂痕长且宽,后期产生的裂痕由于遇到前期产生的裂痕后被终止显得短,前期裂纹形成后已经释放部分应力,后期形成裂纹的应力有限,形成的裂纹窄,裂纹相交角度大多趋向90°。
污泥干燥通常会出现标准的分级开裂现象,学界公认分级开裂是由于材料体积收缩形成。当某一材料中含有可挥发物质如溶剂、结合水等,干燥时可挥发物质脱除会造成材料体积减小,而当收缩的材料附着在一个不可收缩的基材上时,体积收缩就会造成材料分级开裂。学界对体积收缩形成的分级开裂研究也较多,提出了一些数学模型,建立了理论体系,一些涉及分级开裂理论研究,更多是关于裂纹图案的统计。我们发现这些理论在解释水性聚氨酯分散体分级开裂时都存在一些问题,尽量将现有理论进行修正以适合定性上解释水性聚氨酯分散体干燥过程中结合水挥发体积收缩引起的开裂问题。对于水性聚氨酯分散体的干燥后期,游离水完全挥发,粒子经过变形形成致密堆积,虽然体系中粒子界面愈合还在逐步进行,成膜的初步阶段已经完成,此时水性聚氨酯粒子边界水溶胀层叠加形成水溶胀区域,由于水溶胀区域与低含水量区域折射率不同,成膜状态是一种失去流动性乳白色不透明薄膜。此时膜结构示意图见图15。
水性聚氨酯分数粒子融合后结构示意
水分进一步挥发,水溶胀区域体积会收缩,而基材不能收缩,此时就会形成应力,体积收缩形成的应力比较大,这不是毛细压力引起的应力可以比拟的。物理学家已经建立了系统的裂纹理论,定义了两个物理概念,应变能释放率(strain energy release rate)和界面韧性或断裂能(interfacial toughness),所谓应变能释放率是指裂纹每扩展单位面积时,弹性系统能释放出的应变能,通常用G 表示,界面韧性或断裂能是指裂纹扩展单位面积需要的能量,通常用Γ表示,界面韧性是材料对裂纹扩展的阻挡能力,它是材料的一个常数。对于弹性系统材料:

其中g(α,β)为Dundure双材料参数,它与膜材料及基底材料的模量及泊松比等性质有关,可以通过理论和实验获得,对于确定体系它有确定值,E为材料杨氏模量,ν为材料泊松比,h 为膜厚度,σf为材料应力。
当G >Γ,释放出的弹性势能足以提供新形成的界面能,裂纹会继续发展,而当G <Γ,释放出的弹性势能不足以提供新形成的界面能,裂纹不会继续发展。
这种裂纹理论无疑是得到实践检验的,但问题是这种理论是否可以直接应用于水性聚氨酯分散体的成膜过程分析?答案是既肯定又否定的。首先水性聚氨酯分散体材料不是理想的弹性体系。大家知道高分子材料大多是属于粘弹体系,它既有类似固体的普弹性,又具有应变滞后的滞弹性,还具有可以产生不可逆变形的类似液体流动粘流性。对粘弹材料施加固定应力,它可以表现出弹性,然而随着时间的延续,材料可以产生蠕变,形变将会持续发展。而如果应变固定的话,应力将会用于克服分子链滑动而逐步释放表现出应力松弛。对于理想弹性体系应力能量仅有一个释放途径,形成裂纹造就新界面,如果材料能阻止裂纹形成,那么应力永远存在,应力能量以弹性势能形式储存在材料中。而对于粘弹体系,应力能量释放就有了两个途径,形成新界面和用于蠕变克服分子链摩擦。对于水性聚氨酯体系,另外一个难以直接应用裂纹理论的因素是在干燥过程中,应力、模量、薄膜厚度、界面韧性都是处于变化之中。应力随材料体积收缩形成,应力一旦形成,应力松弛对应力的释放紧随其后,应力松弛是一个有关时间的概念。在应力形成和松弛一直处于相互作用中。水对于水性聚氨酯膜是一种增塑剂,随着水分的挥发,膜材料的模量会随之上升。毫无疑问随着水分挥发也会改变膜的厚度。特别是界面韧性,我们知道分散体成膜,粒子间界面愈合是成膜的关键过程,随着粒子间界面的愈合,材料机械性能逐步提升。而粒子间界面愈合是一个缓慢过程,愈合程度是一个时间变量。开裂与蠕变释放应力示意图见图16。
开裂与蠕变释放应力示意图

现在回到物理学家已经为我们建立的裂纹理论,将裂纹理论增加时间轴就可以用于水性聚氨酯分散体干燥过程。随着干燥时间的延长,粒子界面的逐步愈合,材料的界面韧性随之提高,材料模量、应力等也在改变,应变能释放率也会随之改变。在整个时间轴上只要出现应变能释放率超过界面韧性,薄膜就有可能出现裂纹。
水性聚氨酯分散体干燥过程
现在我们需要在整个时间轴上分析各种因素的改变。首先是膜材料的界面韧性,在粒子完成变形形成紧密堆积时粒子还存在界面,理论上界面韧性还可以看成是水的界面韧性。理论模型都是通过计算扩散越过粒子界面的分子链数量计算其断裂能,关于分子链扩散的多个理论获得的结论有一条基本是一致的,就是分散体成膜时断裂能的变化与退火时间(也就是成膜时间)的平方根成正比,这个结论也得到实验证实。

分散体成膜时断裂能的变化还与聚合物分子性质有关,各种模型都是将聚合物看成一成不变的材料,也就是说聚合物的性质是不随时间改变的,但对于水性聚氨酯分散体,前期的粒子紧密堆积膜实际上是水合聚氨酯材料,随着干燥的进行,粒子界面愈合的同时,结合水也在挥发,因此材料的性质也在改变。这种改变对断裂能随时间的变化也一定有影响。最终断裂能是否还是与时间的平方根成正比需要实验检验,但断裂能随时间延长而逐步提高的结论是确定无疑的。
现在来分析一下应力的产生与变化。材料体积收缩产生的应力是由收缩产生的应变而形成的,应力与材料收缩率和材料性质有关。举例来说,假定一条条状材料,固定在距离5 cm的夹具中,采用适当方法使之长度收缩到4 cm,但由于夹具阻止其收缩,长度还是维持5 cm,此时应力是多少呢?假设让材料自由收缩到4 cm,而后拉伸到5 cm。两种状态是否等同呢?答案是等同的。也就是说固定在夹具中的材料收缩产生的应力为收缩后材料的杨氏模量乘以收缩应有的应变,这个应有的应变可以由收缩率计算。在不能收缩的基材上的水性聚氨酯薄膜干燥时收缩形成的应力与上面固定在夹具中材料收缩形成的应力原理是相同的,也就是说薄膜干燥收缩应力是与薄膜材料杨氏模量和收缩率有关。

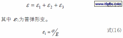
其中ε为应变,E为杨氏模量,将式(10)代入式(9)中得:

为了更好说明问题将式(12)进行简化,g (α ,β )为Dundure双材料参数,它与膜材料及基底材料的模量及泊松比等性质有关,可以通过理论和实验获得,对于确定体系它有确定值,ν为膜材料泊松比,对于确定材料变化较小,因此将式(12)简化为:

对于确定体系K为一确定值,因此应变能释放率为与应变平方成正比,与杨氏模量成正比,与膜厚度成正比。首先公式中应变指的是什么?由于分散体是在不能收缩的基体上成膜,干燥过程似乎没有应变产生。这里所谓的应变是指将解除基材对膜材料的限制释放应力后膜的自由状态看成原始状态,而将基材限定下实际膜状态看成应力作用下的拉伸状态,拉伸状态与自由状态的二维空间比较为应变。
水性聚氨酯干燥过程中定义的这种应变与哪些因素有关呢?首先这种应变是收缩形成的,它的大小与收缩率有关。假设薄膜干燥时的收缩是各向同性的,即收缩在x、y和z方向的收缩率相同,在t 时间膜体积收缩率为C t时,膜在水平x轴上的形变εt为:

干燥收缩引起的形变仅仅是时间和干燥速度的一个函数,时间延长,干燥速度加快,形变加大。体积收缩形成的形变是否就是应变呢,对于普弹材料,形变就是应变,但对于高分子材料,一旦应力形成,蠕变或者应力松弛就随之产生,对于粘弹高分子材料,在应力作用下的应变实际上可以分解为3部分,普弹性的形变,滞弹形变和粘性流动引起的永久形变。

ε2为滞弹形变,材料施加应力后,由于高分子链运动滞后形成的应变,它与施加应力后的时间有关。


ε3为粘性流动形成的永久形变,它也与时间有关。

其中,η为高分子粘流的黏度。
对于高分子收缩体系,对应力有贡献的仅有普弹形变,滞弹现象由于成膜时间较长,t远大于τ,而使得滞弹形变为0,粘流引起的永久形变实质上是蠕变已经释放的应力部分。对于成膜过程,其中应力是随时间变化而变化的,因此粘流引起的形变应该为0~t时间的积分

膜的普弹应变应该是收缩引起的形变减去蠕变形成的永久形变。随着干燥的进行,膜材料体积收缩逐步加大,因此收缩形变与干燥时间成正比,而蠕变的形变也与时间成正比,其差与时间的关系就比较复杂,我们仅能进行一些定量的讨论。
对于水性聚氨酯干燥过程,式(13)中的杨氏模量是随时间增加而增加,膜厚度会随时间增加而减少。将式(13)的影响因素逐个讨论的目的还是希望获得一些定性的结论指导实际应用。对于成膜收缩是否会造成开裂,引入时间轴后,在整个时间轴上任何点如果出现G >Γ 时,膜材料就有可能在此时间段出现开裂。

5 水性聚氨酯因干燥引起膜收缩对开裂的影响

讨论理论的目的是希望能指导实践,就以上理论来具体定性讨论一些因素水性聚氨酯因干燥引起膜收缩对开裂的影响。
(1) 干燥速度对开裂影响
干燥速度较快时,膜收缩变形快速形成,而蠕变永久形变需要时间,因此造成普弹应变较大,G 短时间就可达到较高值,Γ 随时间增加也比较缓慢,出现G >Γ 可能性增加,干燥过程易于形成开裂。
(2) 水性聚氨酯材料模量对开裂的影响
从式(13)可看出,E 较大,G 较大,易于产生开裂,实践中硬性水性聚氨酯成膜极易形成裂纹。
(3) 膜厚度影响
从式(13)看出,G 与膜厚度有关,而Γ是材料本性与厚度无关,增加厚度,增加成膜开裂可能。
(4) 高分子交联对开裂的影响
交联会影响高分子材料的蠕变性能,从式(18)或式(19)可以看出,永久形变与高分子黏度成反比,高分子黏度越小,形变的永久形变越大,对于线性聚氨酯,其蠕变非常明显,收缩造成的应力很快通过蠕变而使得应力释放。而交联会阻止材料蠕变。因此交联水性聚氨酯分散体成膜更易于开裂。
(5) 温度对成膜开裂的影响
温度影响比较复杂,如温度会提高干燥速度,降低材料杨氏模量,促进材料粒子界面愈合速度,加快材料蠕变。除了对干燥速度的提高会对开裂造成负面影响,其他因素都会对消除成膜开裂有帮助作用,总体来说,提高温度成膜开裂可能性减小。
(6) 采用成膜助剂对开裂的影响
成膜助剂的加入对消除膜开裂极为有效,首先成膜助剂的加入,降低了材料模量,帮助分子链运动加快了分散体粒子间界面愈合速度,提高了蠕变速度,当然也会增加成膜体积收缩率,但正面影响远大于负面。
(7) 粒径对成膜开裂的影响
当水性聚氨酯分散体粒径较小时,通常是引入的亲水基团量较大,粒子边界层也较厚,成膜过程中收缩率会加大,成膜开裂可能性增加。
 
6 实践中水性聚氨酯分散体成膜可能会同时存在毛细压引起的开裂和体积收缩引起的开裂
图18是将水性聚氨酯分散体倒在玻璃板上干燥出现的一种十分有趣的开裂现象,涂膜边缘出现一系列平行裂纹,这是毛细压在水平干燥过程中引起开裂现象。随着水平干燥的发展,垂直干燥过程也在涂膜中心区域进行,干燥进行到某一时间,中心部分的垂直干燥也基本完成,因此水平干燥的向前发展也结束。进一步干燥膜中心部位出现了分级开裂,这明显是干燥过程体积收缩造成的,边缘部分后期也会出现干燥体积收缩,但由于前期已经形成毛细压裂纹,收缩不会产生新裂纹而是在毛细压裂纹基础上进一步扩展。
水性聚氨酯分散体倒在玻璃板上干燥出现的开裂现象

7 结语
水性聚氨酯分散体作为分散体的一种,其干燥过程及成膜过程中应力的形成与其他分散体并无本质区别,但由于水性聚氨酯的结构特点水性聚氨酯的干燥过程以及成膜应力出现了一些特殊性,这些特殊性在常规分散体干燥过程中也会出现,只是在水性聚氨酯体系中被强化。这些特殊性主要是水性聚氨酯分散体粒子内含有一定量结合水。反应在干燥过程中,干燥速度慢的同时还出现涂膜表面结皮,开放时间短的现象;表现在成膜应力形成上,出现了其他分散体少见的涂膜收缩应力。

为您推荐

返回顶部