摘 要: 通过季戊四醇、2, 2- 二羟甲基丙酸(DMPA )、甲苯- 2, 4- 二异氰酸酯(TDI)、2- 羟基- 2- 甲基- 1 – 苯基- 1- 丙酮(HMPP)、马来酸酐等合成了一种可参与紫外光固化的超支化大分子光引发剂, 利用傅里叶红外光谱、核磁共振谱、紫外、DSC、TG对其结构和性能进行了表征, 发现当引发剂含量在4% 时引发效果最佳, 反应初始阶段大分子的引发效率高于小分子光引发剂, 随着反应的进行大分子光引发剂的引发效率逐渐小于小分子。大分子光引发剂在纯水中的溶解度很小, 而在含有碱性中和剂的水性光固化体系中可以很好地溶解。
0 引 言
随着人们环保意识的增强, 水性环保涂料的研制迅速成了热点[ 1] , 而水性光引发剂作为水性光固化涂料的重要组成部分得到迅速发展, 需求逐年增加, 因此研究具有某些特性如活性大、可水溶、吸收波长范围广、低迁移率( 在减小对粘附力的影响和降低与食品接触的毒性方面有重要的影响) 的新型光引发剂越来越受到人们重视[ 2] 。大分子光引发剂能有效解决光解过程中的迁移、挥发、黄变、气味、毒性和与主体预聚物相容性等问题。但是, 目前许多大分子光引发剂仍会产生小分子迁移, 其引发剂活性和在单体中的溶解性也有待提高。超支化聚合物由于其独特的三维立体球状结构[ 3] , 应用于涂料中具有黏度低、固化速度快和成膜性好等优点[ 4] , 所以近年来国内外关于用超支化聚合物制备UV 固化涂料低聚物的研究异常活跃。因此, 本研究将光引发剂与超支化聚合物结合起来, 再引入感光基团和羧基, 研究合成了低黏度、端基含有光敏基团的水性UV固化超支化型大分子光引发剂, 将能有效地解决传统光引发剂的诸多问题[ 5], 目前把超支化聚酯应用于大分子光引发剂鲜有报道。
1 实验部分
111 实验药品
2, 2- 二羟甲基丙酸( DMPA) : 分析纯, 比利时; 季戊四醇、顺丁烯二酸酐、对甲苯磺酸、甲苯- 2, 4- 二异氰酸酯( TDI):分析纯, 天津化学试剂厂; 2- 羟基- 2甲基- 1- 苯基- 1- 丙酮(HMPP) : 分析纯, 日本; 二月桂酸二丁基锡: 分析纯, 北京益利精细化学品厂; N, N – 二甲基甲酰胺( DMF): 分析纯, 天津大茂化学试剂厂。
112 合成方法
11211 超支化聚酯的合成
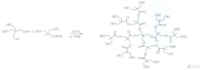
将季戊四醇、2, 2- 二羟甲基丙酸( DMPA) 按1B12的物质的量比加入四口烧瓶中, 升温至140 e , 氮气保护下加入适量催化剂对甲苯磺酸, 反应3 h后减压, 继续反应2 h, 停止减压,降温后溶解沉淀, 得到产物超支化聚酯(H BPE)。超支化聚酯合成方程式如式( 1)。

11212 大分子光引发剂的合成
( 1)HBPE – TD I- 1173的合成
在装有冷凝管、滴液漏斗、机械搅拌的三口烧瓶中, 加入称量好的TDI与催化剂二月桂酸二丁基锡, 开动搅拌, 30 e 下滴加小分子光引发剂1173( 2- 羟基- 2- 甲基- 1- 苯基- 1- 丙酮), 反应中每30m in取样测定异氰酸值, 至异氰酸值为初始值的一半时, 加入上步合成的超支化聚酯, 可加入适量溶剂DMF( 用4A 分子筛干燥1周), 同时升温至60 ~ 70 e 。继续反应至异氰酸值小于1%时, 升温至90 e , 当异氰酸值无法测出时, 冷却出料。
2) 马来酸酐- H BPE- TDI- 1173的合成
反应装置同上, 在上步合成的产物中加入适量溶剂DMF( 4A 分子筛干燥1周), 带水剂环己烷, 升温至90 e , 加入称量好的马来酸酐(含适量阻聚剂对苯二酚01 5% ), 每小时测定体系酸值, 直至酸值降为初始值的一半时, 冷却, 经旋转蒸发仪脱除溶剂, 残留溶剂用蒸馏水洗涤(大分子光引发剂在纯水中的溶解度很小), 之后经丙酮沉淀, 烘干待用。大分子光引发剂的合成方程式如式( 2) ~ 式( 4)。

113 表征仪器
傅里叶变换红外光谱仪: IRPrestige – 21, 日本岛津; 紫外- 可见吸收光谱仪: UV – 2550PC, 日本岛津; 差示扫描量热仪: DSC200PC, 德国耐驰公司; 核磁共振仪: NOVA – 400,美国。
2 结果与讨论
211 红外分析
红外表征如图1所示。

由图1( a) 可知, 在3 4001 93 cm- 1处是) OH的特征峰, 且由峰面积可知生成) OH 的数量较多, 2 944124 cm- 1、2 8821 05 cm- 1、1 7321 07 cm- 1分别是) CH2、) CH3、酯基的特征峰。由图可知预测结构的特征峰都已经出现。
由图1( b )可知, 在2 274110 cm- 1处是) NCO的特征峰,在3 314130 cm- 1 处是仲胺的特征吸收峰, 说明一部分的) NCO已经与1173 中的) OH 反应生成了) NH) , 且在1 533 cm- 1处出现) NH的伸缩振动峰。由图1( c)可知, HBPE 经过TDI、1173 和马来酸酐改性后外围的羟基完全消失, 3 329 cm 左右出现仲胺吸收峰,1 728 cm左右出现羧基的吸收峰, 1 732 cm左右的酯基峰被羧基峰覆盖, 且在1 666 cm和819 cm两处出现双键特征峰。
212 核磁分析
聚酯及大分子光引发剂的核磁表征如图2所示。

HBPE 的核磁谱如图2( a), 在化学位移41 61、4194处对应) OH; 4111 对应) COO) CH2) ; 3133 ~ 31 48 对应) CH2 ) OH; 11 39处对应) CH2 ) ; 11 01~ 1117处对应) CH3,理论与实际产物结构相符。由图2 ( b) 可知超支化聚酯在改性后31 556 处出现一个不尖的峰, 形状像馒头。该峰就是) NH) 中H 的特征峰。在21 154和21 319处分别出现独立的两种H 的特征峰分别是双键中两种H 的特征峰, 耦合分裂为2重峰和3重峰。
213 大分子光引发剂的TG分析
大分子光引发剂的热质分析如图3所示。

图3中表现为3次失质量, 在200 e 之前几乎没有质量损失,说明溶剂脱除非常干净, 没有小分子残留, 反应转化率很高。从另一个方面也可看出合成的大分子光引发剂相对分子质量分布比较集中。当温度达到280e 时质量损失约12168%, 主要是结构上的缺陷或侧链的少量断裂导致; 当温度达到340 e 时有5811%的质量损失; 但是在430 e 时仍有2811%的质量残余, 说明合成的大分子光引发剂有很好的热稳定性。
214 大分子光引发剂的DSC分析
大分子光引发剂的DSC分析如图4所示。

从合成的H BPE 和大分子光引发剂的DSC图谱中可看出, HBPE在未改性时玻璃化转变温度在55 e 左右, 当改性后玻璃化转变温度有所下降。
215 紫外图谱分析
大分子光引发剂的紫外图谱表征如图5所示。

从图5可看出, 1173和马来酸酐- HBPE – TDI – 1173 在异丙醇中的紫外吸收中, 小分子光引发剂1173的最大吸收波长为243 nm, 而具有超支化多臂结构的大分子光引发剂马来酸酐- HBPE – TDI- 1173的最大吸收为255 nm, 发生最大吸收红移, 吸光度下降。1173 系列光引发剂中含有生色团C O, 这些基团含有P 电子, 在紫外光区能产生ny P* 和P- P* 跃迁[4- 5] , 该系列化合物中还含有) OH等助色团, 它们具有孤电子对与发色团相连, 可以发生p- P 共轭。发生红移现象可能有两个原因: 一是溶剂效应, 溶剂效应对电荷分散体系具有较强的稳定能力, 在极性溶剂中, 由P – P* 跃迁产生的吸收峰, 随溶剂极性增加, 激发态比基态能量有更多的下降,发生红移; 二是由于共轭效应引起的红移。
216 引发剂最佳含量
引发剂用量对凝胶含量的影响见图6。

由图6可知, 引发剂的含量有一个最佳值。当大分子引发剂含量达到4%时, 凝胶转化率达到最大值, 而当大于4%时, 凝胶转化率反而开始下降, 这是因为随着光引发剂的增多, 自由基浓度增大, 导致自由基之间的自猝灭失活几率增加而凝胶率有所降低。
图7是小分子光引发剂( 1173) 和改性后的大分子光引发剂( 马来酸酐- H BPE- TD I- 1173)在百分含量均为4%时大分子引发光固化涂料的时间- 凝胶转化率曲线图。

在自由基型光引发剂引发不饱和单体的聚合过程中, 光引发剂在紫外灯的照射下产生的自由基数目和活性直接影响着聚合速度。在反应初始阶段, 大分子的引发效率比较高, 聚合速度较快, 使凝胶含量较高。随着反应进行大分子的引发效率逐渐小于小分子, 主要是因为发生光聚合时, 在反应初期聚合时产生的自由基数目相同, 但超支化大分子的相对分子质量远远大于小分子, 分子的移动速度较低, 自由基耦合几率较低使光固化速度较快, 凝胶含量较高。随着交联网状结构的形成, 大分子中光引发剂自由基的移动受到了限制, 反应活性种被交联网包裹, 降低了聚合速率, 使凝胶含量低于小分子。
217 大分子光引发剂的水溶性
大分子光引发剂在纯水体系中的溶解度并不高, 而在含有碱性中和剂的水性光固化体系中可以很好地溶解, 这是由于体系中原有的胺类中和剂使得引发剂能很好地溶解在水里。随着中和度的提高, 水溶性变好。
3 结 语
( 1)通过红外、紫外、核磁表征表明合成出了符合理论结构的大分子光引发剂。通过热质、DSC等热分析手段证明合成的大分子光引发剂具有较高的玻璃化转变温度和热稳定性。
( 2) 由UV 分析可知大分子光引发剂最大吸收峰为255177 nm, 相比小分子光引发剂1173 发生了最大吸收峰红移, 具有感光性。
( 3)引发水性光敏树脂固化可知大分子光引发剂(马来酸酐- H BPE- TDI- 1173) 含量为4%时具有最佳的引发效率。
( 4)反应初始阶段大分子光引发剂引发效率高于小分子光引发剂, 随着反应的进行大分子的引发效率逐渐小于小分子。
( 5)大分子光引发剂在含有碱性中和剂的水性光固化体系中可以很好地溶解。