高附着力丙烯酸树脂的研制
谢志刚, 江燕红, 周乐奋, 廖瑞莹, 邱星林 (广州珠江化工集团有限公司, 510385)
0 引 言
由于丙烯酸涂料性能优异, 近几十年来, 得到了长足的发展, 各种类型的专用涂料不断涌现。但是,这些涂料对底材的适用性较为单一, 在铝板、镀锌板、不锈钢板、电镀件、抛光件及其他有色金属板材上的涂覆, 均存在附着力较差的问题。一般大多采用外加附着力促进剂的方法, 该方法除了成本较高, 并不能从根本上提高涂料对各种板材的附着力, 而且会影响涂膜原有性能(由于加入的助剂并不参与交联成膜,因而对涂膜的性能如交联密度、机械强度、光泽、耐化学品性、耐候性等产生不同程度的影响)。因此, 需从基料着手, 对传统的丙烯酸树脂进行改性, 以获得附着力优异且保持其他良好性能的涂膜。
1 实验原理
本技术采用单体直接合成, 在树脂中引入相对分子质量较小的聚酯中间体, 该中间体含有高极性的碳胺杂环基团, 能提高对基材的润湿能力及附着力, 同时含有带酯键的长碳链, 改善了合成时中间体与丙烯酸单体和溶剂的混容性, 亦提高了涂膜的拉伸强度。由于官能基是直接加到成膜物分子链中, 因此对涂膜的原有性能基本没有影响。该树脂具有多官能基、多反应点, 成膜后的交联密度得到提高, 从根本上解决了对各种金属板材的附着问题, 而且硬度高、丰满度佳。高附着力丙烯酸树脂的关键原料是中间体, 中间体的合成分为两个步骤:
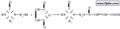
(1) 官能化反应:
(1) 官能化反应:
(2) 酯化反应:
2 实验部分
2. 1 原 料
实验原料见表1、表2。

2. 2 工艺操作及控制指标
2. 2. 1 聚酯中间体
( 1)将合成聚酯中间体的原料投入到装有搅拌器、回流冷凝器、分水器及温度计的反应釜中, 通氮气保护, 升温待物料溶解后开动搅拌;
( 2)在2 h内缓慢升温至180℃ , 保温2.5 h;( 3)降温至( 95 ± 2)℃ , 加入长碳链醇, 升温至( 150 ± 2) ℃ , 保温酯化3 h, 至酸值合格, 降温, 加入兑稀溶剂兑稀成50%固体含量, 过滤出料;中间体控制指标: 酸值(兑稀后)≤ 20 mgKOH /g; 颜色(铁钴比色计)≤ 6 号; 固含量为( 50 ± 2)%[ ( 120 ± 2) ℃ , 1 h]。
2. 2. 2 高附着力丙烯酸树脂
( 1)将单体、中间体、过氧化苯甲酰、叔十二烷基硫醇混合均匀。将溶剂投入反应锅中, 通氮气保护,升温至( 120 ± 2)℃ 。
( 2)均匀滴加单体, 在3 h内滴完, 控制反应温度在( 120 ± 5) ℃ 。
( 3)在120~ 130 ℃ 保温3 h, 每小时检验一次转化率及酸值, 当转化率≥98% , 酸值合格时降温, 加入溶剂兑稀, 过滤出料。
树脂控制指标: 外观清澈透明, 无机械杂质; 颜色(铁钴比色计)≤ 5号; 酸值为10~ 20mgKOH /g; 固含量为( 50 ± 2)%[ ( 120 ± 2) ℃ , 1 h]。
2. 3 涂料配方及指标
高附着丙烯酸涂料配方及指标见表3、表4及表5。


3 结果与讨论
3. 1 酯化反应物对中间体的影响
我们曾采用环氧丙烷和1, 3 – 丙二醇进行酯化反应, 但由于环氧丙烷沸点低( 40℃ 左右) , 易挥发,难控制, 合成出来的中间体颜色较深( 9~ 10号) , 常温贮存3个月后析出。1, 3- 丙二醇虽然难挥发, 较易控制, 但也不能通过贮存稳定性的检测, 中间体颜色为7~ 8号。最后确定使用一种含至少十二个碳的长碳链醇解决了上述问题, 不仅易控制、颜色浅( 5~6号)、贮存稳定, 而且与丙烯酸单体混容性佳, 对后期合成丙烯酸树脂尤为重要。
3. 2 抗氧剂对中间体的影响
3. 2 抗氧剂对中间体的影响
在合成中间体的过程中使用了两种抗氧剂, 主要是考虑两种抗氧剂能在不同温度段产生作用, 抗氧剂1为液态抗氧剂, 前期添加能在温度较低时直接起抗氧减色作用, 抗氧剂2为固体抗氧剂, 大约在110 ℃左右熔解, 主要在较高温度反应时具有抗氧功能, 两种抗氧剂的配合使用更能有效降低中间体的颜色。
3. 3 中间体用量对高附着力丙烯酸树脂的影响
3. 3 中间体用量对高附着力丙烯酸树脂的影响
中间体的不同用量对丙烯酸树脂性能的影响见表6。

由表6可看出, 中间体用量越大, 合成的树脂制成的清漆的颜色越深。而随着中间体用量的增大, 附着力变佳, 光泽也不断升高, 但硬度在达到一定值后下降, 因此, 中间体用量宜在3% ~ 5%之间。
3. 4 交联剂对涂料性能的影响
交联剂氨基树脂将影响丙烯酸涂料的烘烤温度、烘烤时间及最终的涂膜性能。表7列出了不同类型的氨基树脂对涂膜性能的影响(以清漆为例)。
R – 797、R – 747、CY – 3747均为外购甲醚化氨基树脂, 702为本公司自制丁醚化氨基树脂。从表8可知, 用这几种氨基树脂配成的丙烯酸涂料的光泽、附着力均较好, 但使用前3 种氨基树脂均需要在150 ℃ 下烘烤1 h, 而使用702仅需要在120℃ 下烘烤1 h, 而且702价格相对更便宜。
4 结 语
合成了含有碳胺杂环基团的聚酯中间体, 用此中间体与其他单体合成丙烯酸树脂, 中间体用量在3%~ 5%之间。用该丙烯酸树脂、交联剂702氨基树脂配漆, 该涂料保持了丙烯酸涂料的优良性能, 而且附着力、光泽、硬度得到提高, 丰满度佳, 适用于在各种金属板材上的涂覆装饰。