1 前言
不饱和聚酯腻子( 亦称原子灰) 是一种以不饱和聚酯树脂为主要原料, 配以各种填料和添加剂混合而成的底灰。它以有机过氧化物为固化剂, 临用时以原子灰: 固化剂= 100: 2 的量混匀后, 在常温下可短时间聚合形成坚固的涂层, 是新型的适用于汽车、机械铸件及高级家俱的底层涂料的一种材料。不饱和聚酯腻子的固化可采用多种固化体系。固化体系的选择除了要考虑树脂交联聚合的机理外, 还要考虑产品的主要技术指标, 如固化时间, 成膜硬度, 附着力等因素, 本文着重探讨几种固化体系及其他条件对固化效果的影响, 为不饱和聚酯腻子的生产提供参考。
2 实验部分
2 1 材料与试剂
339# 不饱和聚酯树脂 南京、金陵巴斯夫树脂厂
环烷酸钴 工业纯、市售
过氧化环已酮 工业纯、市售
N, N – 二甲基苯胺 化学纯、市售
过氧化苯甲酰 工业纯、市售
耐晒黄G 工业纯、市售
2 2 不饱和聚酯腻子及固化剂的制备
2 2 1 配方( 见表1 和表2)

2 2 2 工艺过程
2 2 2 1 不饱和聚酯腻子
不饱和聚酯树脂采用气相SiO2 母料法于高速搅拌器中分散后, 加入环烷酸钴、N, N- 二甲基苯胺等助剂混匀, 再加入主填料滑石粉等, 以4kg 为净重罐装于镀锌铁桶密封。
2 2 2 2 固化剂
准确称取过氧化环已酮55 克( 注: 市售工业纯过氧化环已酮一般为含50% 的邻苯二甲酸二丁酯的浆状物。久置分层, 上层溶液为稳定剂邻苯二甲酸二丁酯, 而白色沉淀物即为有效成份) , 过氧化苯甲酰20 克, 加入惰性填料( 如滑石粉等) 40 克及耐晒黄G0 2 克。混合搅拌后置于高剪切力的混合乳化器中进行分散后罐装于容量为120 克的塑料软管( 注: 软管应可承受2kg 以上的压力) 即为固化剂成品。由于过氧化物易分解, 所以产品最好贮存于阴凉干燥处。
2 3 固化效果的测试
腻子固化的测试: 取腻子:固化剂= 100:2 的量, 混合均匀( 均匀的程度视腻子被固化剂中的耐晒黄G 的黄色均匀染色为准) , 然后将腻子涂装于处理过的汽车底材或机械铸件上。涂装操作后开始计时。当涂层表面可用砂纸打磨即为表面固化时间,表面固化后一小时再测定其附着力。最佳表面固化时间为30- 50min( 在不同气温条件下) 。
表3 本体系在不同温度下的固化时间和固化效果( 用量为腻子:固化剂= 100:2)
3 结果与讨论
3 1 不同固化体系的固化效果
本实验对三种不同固化体系的固体效果进行测定, 结果分述如下。
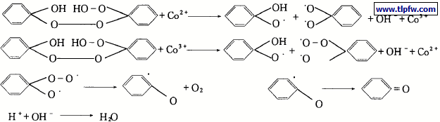
3 1 1 过氧化环已酮- 环烷酸钴体系
本体系以环烷酸钴作为还原剂, 当过氧化环已酮在环烷酸钴的存在下, 这些不断分解出来的自由基引发了线型不饱和聚酯和苯乙烯的交联, 其反应机理如下:
本固化体系的特点是放热比较小, 表里固化比较完全, 附着力较好。但受空气湿度的影响比较严重, 同时也受空气中O2 的阻聚, 使得涂层表面发粘, 粘砂纸, 不利于涂装操作
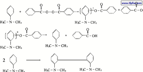
3 1 2 过氧化苯甲酰- N, N 一二甲基苯胺体系
表5 本体系在不同温度下的固化时间和固化效果( 用量为腻子:固化剂= 100:2)
本体系的还原剂为叔胺类, 一般最常用的为N,N – 二甲基苯胺, 也可用N, N – 二乙基苯胺。本体系的分解反应为:
本固化体系的特点是反应放热高, 表面固化时间短, 在成膜过程中受空气中O2 的影响小, 不怕潮湿条件。但由于表面固化时间短, 表里固化时间不一, 附着力较差。且由于叔胺存在, 涂层黄色较重,不利表面漆的着色。
3 1 3 双组份固化体系
由表7 可知, 在保证了产品的附着力及其他性能不变的条件下, 双组份固化体系克服了单一固化体系的缺点, 对于在不同气温条件下的固化时间均可达到30~ 35min 左右, 且涂层表面干爽, 打磨不粘砂纸, 附着力好, 潮湿气候对其固化时间没有太大影响。产品的主要技术指标均达到预期的效果。
3 2 固化速度与产品性能的关系
腻子的产品技术指标除了固化时间外, 还有其他物理性能也受到固化体系的影响。如涂膜硬度,打磨松度, 附着力等。市售产品的固化时间指标要求在操作环境的温度下, 表面固化( 触指干) 时间为30- 35 分钟左右即可打磨, 不粘砂纸。如此, 若采用单一的环烷酸钴-过氧化环已酮固化体系, 在客观条件下, 特别是在低温或高温潮湿的环境下, 是无法满足要求的。因为此固化体系的涂膜表面受空气中O2 的阻聚, 往往表面固化时间太长而使涂层表面发粘。如果O2 的阻聚大于固化时链增长的速度常数, 还将出现固化不完全而影响附着力。过氧化苯甲酰- N, N 一二甲基苯胺的固化体系不受潮湿低温气候的影响。可在低温下短时间表层固化, 但因它反应速度很快, 放热比较显著, 使固化时间不易控制, 不便于操作。而且对体型共聚物而言, 固化时间太短, 影响链的长度, 降低了高聚物的平均分子量, 使力学性能变坏, 最终也导致附着力的下降。
4 结论
通过上述实验证明, 采用双组份固化体系, 即环烷酸钴- 过氧化环已酮; N, N – 二甲基苯胺- 过氧化苯甲酰的合理配合, 将可以克服单一固化体系的弊病及客观条件对它的限制。克服了低温潮湿气候下涂层表面发粘, 高温下固化时间太短而影响涂装操作。同时还保证了主料腻子固化后的物理性能。