低温固化环氧阴极电泳涂料的大分子交联剂的制备
何煦1,戴晨伟1,管华平2,章于川1
( 1. 安徽大学化学化工学院,合肥230039; 2. 安徽省滁州市来安中学,安徽滁州239200)

自1971 年美国PPG 公司研制出第一代阴极电泳涂料以来,阴极电泳涂料经过几十年的发展已成为一种应用极其广泛的产品,全球绝大多数的汽车都使用阴极电泳涂料。近年来,随着环境问题日益严峻,人们对节能环保的要求越来越高,低温固化型阴极电泳涂料以其烘烤温度低、油烟污染少、大型工件应变小、可以涂装厚壁工件等优点而备受青睐。目前,国外开发的100 ~ 140 ℃固化的阴极电泳涂料已经进入实用化阶段,而国内虽然已有100 ~ 120 ℃固化的一些专利,但实际应用的产品并不多见。降低封闭异氰酸酯脱封温度是常见的降低固化温度的方法之一,传统方法是利用甲乙酮肟、3,5- 二甲基吡唑、亚硫酸氢钠等含有活泼氢的小分子对异氰酸酯进行半封端,后与胺化树脂反应,从而实现树脂分子间的桥联。但该法在进行异氰酸酯半封端的反应及转移中间产物过程中存在遇水分变质从而使整个合成失败的弊端,同时存在半封端异氰酸酯的滴加过程难以控制等诸多难题。
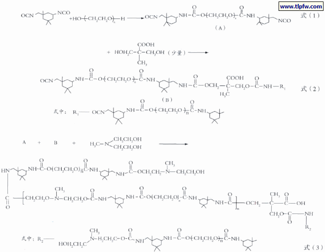
本研究首次利用大分子对异氰酸酯进行全封端,合成聚氨酯固化剂乳液,将其与电泳成膜的胺化树脂进行简单的物理混合后即可形成阳离子型混合乳液,电泳成膜后低温烘烤固化。该方法不仅能显著降低固化温度,而且有效地解决了实际操作过程繁杂和对无水条件过分依赖等问题。固化剂合成反应路线设计为: 第一步, IPDI 与PEG - 200按2∶ 1物质的量比投料反应,引入亲水链,如式( 1) 所示。第二步,加入少量DMPA,引入阴离子基团,增加大分子链的自乳化性,如式( 2) 。第三步,利用与MDEA 反应,实现异氰酸根的全封端,如式( 3) 。
1 实验
1. 1 主要实验原料
异佛尔酮二异氰酸酯( IPDI) : 烟台万华聚氨酯股份有限公司; 聚乙二醇( PEG - 200) 、二正丁胺、二月桂酸二丁基锡:天津市光复精细化工研究所; N - 甲基二乙醇胺( MDEA) : 宜兴中豪化工有限公司; 二羟甲基丙酸( DMPA) : 进口; 胺化树脂乳液: 自制; 5A 型分子筛: 国药集团化学试剂有限公司; 苯胺:中国天津巴斯夫化工有限公司。
1. 2 合成工艺
1. 2. 1 全封端型异氰酸酯固化剂乳液的合成
在带有搅拌、恒压滴液漏斗和回流装置的三口瓶中, IPDI与PEG - 200( 经分子筛除水) 按2∶ 1物质的量比投料,加入适量二月桂酸二丁基锡, 90 ℃下反应2 ~ 3 h,降温至40 ℃,加入一定量DMPA 溶液,升温至100 ℃,反应2 ~ 3 h 后降温至60 ℃,按计量比滴加MDEA,升温至100 ℃,反应2 ~ 3 h,降温至60 ℃后按比例加入醋酸( HAc) 酸化30 min; 反应过程中利用少量丁酮调节黏度。按固含量30% 的比例加入去离子水,高速分散乳化10 min 即可。
1. 2. 2 电泳涂料混合乳液的制备
将封闭异氰酸酯大分子交联剂乳液和自制的胺化树脂乳液按一定比例混合,搅拌均匀,减压蒸馏除去其中部分有机溶剂,得目标乳液。加入去离子水和HAc 调节乳液的电导率和pH,使之满足电泳条件。
1. 2. 3 电泳涂膜的制备
磁力搅拌乳液,电源电压设定为60 V,将除锈、除油并抛光后的钢板作阴极,不锈钢板作阳极, 30 ℃下,软启动20 s,泳板90 s后按照130 ℃ /30 min 的工艺固化。
1. 3 仪器与分析测试
FT - IR 分析采用美国Nicolet Instrument 公司生产的NEXUS - 870 傅里叶红外光谱仪进行。DSC 测试采用美国TA公司生产的Q2000 差示扫描量热仪进行。TG 测试采用德国耐驰公司生产的449F3 同步热分析仪进行。乳液TEM 测试采用日本电子公司生产的JEM - 2100 高分辨透射电子显微镜进行。粒径分析采用英国马尔文公司Zetasizer Nano ZS90 粒度仪进行。乳液黏度测试采用上海尼润智能科技有限公司NDJ系列黏度计进行。电导率测定采用上海精科仪器公司DDB -303A 便携式电导率仪进行。
—NCO定性分析: 苯胺法,取待测反应溶液,滴加于装有苯胺的试管中,振荡,静置,如果有白色沉淀析出,则判断反应物中—NCO未反应完全; 反之亦然。—NCO定量分析: 二正丁胺回滴法。漆膜铅笔硬度测试: 按GB/T 6739—2006 进行; 漆膜附着力测试: 按GB/T 9286—1998 进行; 漆膜耐丙酮测试:用吸满丙酮的脱脂棉团在1 N 的力作用下来回擦拭漆膜,计漆膜脱去时的擦拭次数; 漆膜耐盐雾测试: 上海奇珊QYW -060 盐雾试验机。
2 结果与讨论
2. 1 —NCO含量及红外分析
IPDI 与PEG - 200 实验过程中,每隔0. 5 h 取样进行—NCO定量分析。结果表明,反应开始时,—NCO 含量为12. 46%,反应2 h 后,—NCO含量为6. 88%,说明IPDI 中活性较大的—NCO基团已基本与PEG - 200 发生反应,生成两端带异氰酸根的预聚体( A) 。在MEDA 参与反应的过程中,每隔0. 5 h 取样进行—NCO定性分析。结果发现, 0. 5 h、1 h 时所取样品滴入苯胺中时立即出现沉淀, 1. 5 h 取样滴入苯胺静置后有少量沉淀,2h的样品静置1 h 后无沉淀,表明反应2 h 后体系中无异氰酸根。真空条件下除去溶剂,进行FT - IR 测试。图1 为红外测试图。

由图1 可知,3 329 cm- 1 处的吸收峰为N—H的伸缩振动峰,1 709 cm- 1 为C=O 的伸缩振动峰,1 530 cm- 1 为—CO—NH的变形振动吸收峰,2 953 cm- 1 处为CH 伸缩振动吸收峰,1134 cm- 1 处为的C—O—C伸缩振动,经MDEA 封端后,2300 cm- 1 左右—NCO特征峰消失,说明IPDI 中的—NCO完全参与反应,实现了异氰酸酯的全封端。FT - IR 分析表明,通过反应生成了全封闭型聚氨酯结构。
由图1 可知,3 329 cm- 1 处的吸收峰为N—H的伸缩振动峰,1 709 cm- 1 为C=O 的伸缩振动峰,1 530 cm- 1 为—CO—NH的变形振动吸收峰,2 953 cm- 1 处为CH 伸缩振动吸收峰,1134 cm- 1 处为的C—O—C伸缩振动,经MDEA 封端后,2300 cm- 1 左右—NCO特征峰消失,说明IPDI 中的—NCO完全参与反应,实现了异氰酸酯的全封端。FT - IR 分析表明,通过反应生成了全封闭型聚氨酯结构。
2. 2 固化剂热分析
图2、图3 分别为全封端异氰酸酯固化剂的DSC 和TG曲线。
从图2 可以看出,在124 ℃和251 ℃时各有1 个吸热峰;由图3 可知, 136 ℃时失质量不到10%,分析表明,该固化剂在124 ℃时异氰酸根脱封,即该固化剂的脱封温度为124 ℃。其中,TG 曲线显示该物质在250 ℃开始质量急剧下降,应该为分子链中PEG - 200 部分分解失质量。
2. 3 DMPA 的影响
由于DMPA 结构中有亲水基团—COOH,有利于提高大分子的水溶能力,在实验制备过程中,DMPA 对固化剂乳液的稳定性等影响较大。通过不添加和添加不同比例的DMPA 合成固化剂进行对比实验。实验结果表明,不添加DMPA 合成的固化剂乳化时,水溶性较差,难以形成稳定乳液。而添加DMPA参与合成的固化剂,易分散并且能得到稳定乳液。通过试验发现,DMPA 的添加量对电泳涂装效果影响较大,从固化效果观察,DMPA 质量为总投料质量2% 时镀膜外观最为光亮平整。因为MDEA 参加的扩链反应向分子链中引入了叔胺N 原子,经酸化反应后形成叔胺阳离子,从而分子链带有若干正电荷,形成阳离子乳液。引入的合适计量DMPA的—COOH在酸性条件下电离出—COO - 可忽略不计,对分子的阳离子性不会产生影响。其中的—COOH不仅会提高交联剂的水溶性而且在后期交联固化反应中亦可与环氧树脂反应,有利于树脂的固化。
2. 4 乳液性能分析
2. 4 乳液性能分析
图4 为电泳涂料乳液的粒径分布曲线。
从图4 中可以看出,电泳涂料乳液粒径分布范围较窄,大部分粒径在90 ~ 110 nm 之间。
图5 是电泳涂料乳液TEM 图。
从图5 可以看出,乳胶粒大小较均匀,直径约为90 nm,说明乳液均匀。乳胶粒过大会导致漆膜不致密,过小则会导致成膜厚度难以增加,该乳液乳胶粒径与常见乳胶粒径相近,能够较好成膜。表1 为乳液其他性能。

从表1 可以看出在固含量为30% 时其黏度较小,稳定时间长,乳液便于保存。
2. 5 涂膜表面形貌及性能分析
图6 为涂膜的照片。
从图6 可看出涂膜表面平整光亮无瑕疵,无气孔缩孔,涂装效果良好。其他相关性能指标如表2 所示。
从表2 可看出,该涂膜外观平整光亮,可以用做装饰性涂料,其附着力为0 级( 最高级) ,耐盐雾时间较长、耐丙酮性能较好,可以用于金属表面防腐。
3 结语
通过大分子全封端法三步成功合成了全封端型大分子固化剂( P -M - I) ,其优化的实验合成条件为n( IPDI) ∶ n( PEG - 200)=2∶ 1, 90 ℃下反应2 h; 与MDEA 反应条件为110 ℃下反应2 h,DMPA 的量控制为一定值。热分析结果表明,固化剂能够显著降低固化温度,脱封温度为124 ℃,固化条件为130 ℃/30 min。研究了DMPA 对大分子固化剂合成的影响,实验表明,不添加DMPA 合成的固化剂乳化时,水溶性较差,难以形成稳定乳液。而添加DMPA 参与合成的固化剂,易分散并且能得到稳定乳液。其中的—COOH为亲水基团,有利于提高大分子的水溶能力,且DMPA 的用量对固化效果影响较大,质量为总投料质量2%为最佳。
利用物理混合的方法制备了电泳涂料乳液。性能测试结果表明,乳液分散均匀,稳定性好,乳胶粒粒径大小为90 ~110 nm。低温烘烤固化成膜,将其应用于钢板等工程部件,涂膜物理性能良好,有广阔的应用前景。