低电压对电泳漆膜的缓溶作用

1 引言 近年来,电泳涂装在我国各个工业部门已获得了广泛的应用。普遍采用的电泳设备是单槽式(间歇)和自动流水线式(连续)。尽管这两种电泳槽的主体结构大同小异,但因为自动流水线式的机…

1 引言
近年来,电泳涂装在我国各个工业部门已获得了广泛的应用。普遍采用的电泳设备是单槽式(间歇)和自动流水线式(连续)。尽管这两种电泳槽的主体结构大同小异,但因为自动流水线式的机械自动化程度高,生产批量大且连续不断,所以它的工艺操作和工艺控制都比单槽式复杂些。一个麻烦的工艺问题还在于因零件供给的中断或是电泳生产线本身任何一个环节出了故障,生产线就不得不开空车或是停下来。开空车给生产线能力造成浪费,生产线停下来,能源浪费是一方面,浸泡在电泳槽漆浴中的零件就会出现2 种情况:
⑴在维持原工艺电压时,这相当于增加了零件的电泳时间,此时零件上的漆膜不是发粗就是变成“哈蟆皮”了,外观不合乎质量要求。
⑵切断工艺电压,也许对刚进入电泳槽漆浴的零件没有什么坏的影响,可是对那些电泳了一段时间或电泳即将完成的零件就不一样了。因为这些零件停在漆浴中,泳上的漆膜会向漆浴溶解,时间越长,溶解越彻底,以致在它们出电泳槽时仍会是个白胚件。而修复这样的零件是很费工费时的,尤其是大型工件,如汽车车架,驾驶室等。
以上2 种情况简称它们为漆膜“增厚”和漆膜“返溶”。本文就是想通过一些试验来了解“增厚”和“返溶”的规律,进而提出控制“增厚”和“返溶”的一些工艺设想,同时对工艺设想进行理论上的探讨。

2 试验部分
⑴试验对象:酚醛沥青阳极电泳漆。
⑵试验方法:在不同工艺条件下,测试电泳样板上单位面积的漆膜质量,同时考察漆膜外观。
⑶试验仪器和样板
硅整流器:GLA- 80A / 72V。
电泳槽:1 200 mL 搪瓷杯(φ120 mm×120 mm)。阴极采用φ116 mm×104 mm 的金属薄片贴在杯内壁上,且阴极内壁上再用φ114 mm×100 mm 的多孔塑料圈支撑。其中孔的总面积和电泳样板面积相近。
样板:采用90 mm× 100 mm× 1.2 mm 的08AL 钢板。电泳前用二甲苯清洗2 道,100 ℃下烘干30 min,存放在干燥器内备用。
⑷电泳样板漆膜外观评级标准
电泳样板漆膜外观评级标准见表1。

3 试验项目和内容
将表2 所列工艺条件定为参比工艺条件,其他试验方法为试验工艺条件。

4 试验与结果
4.1 试验Ⅰ
改变电泳电压,测定不同电压值(V)时样板上单位面积漆膜质量(W),见图1。

试验结果如下:
①在参比工艺条件下,电泳漆膜的增重与施工电压成线性关系,可用公式⑴表示:
W=K 参·V ⑴
式中K 参是电泳漆膜的电压增重系数(mg·cm-2·V-1),它等于直线的斜率,从图上数据可计算出K 参值。
K 参=(2.5 – 0.86)/(50 – 10)=0.041 mg·cm-2·V-1
②漆膜的质量,在采用30 ~ 70 V 的电泳电压时是符合要求的,外观呈Ⅰ~Ⅱ级状态。

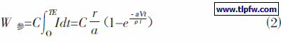
4.2 试验Ⅱ
改变电泳时间,测定不同电泳时间(t)对漆膜质量(W)的影响,见图2。

试验结果如下:
①电泳漆膜的增重与电泳时间有以下关系式:

式中:C———常数;
r ———工件浸入漆浴的速度,cm/s;
a ———每安·秒漆膜盖的面积,cm2;
V———电泳电压,V;
ρ ———漆液电阻率,Ω·cm;
l ———阴阳极距离,cm;
t ———电泳时间,min;
tE———样板浸没在漆浴里的时间,min,tE≥t。
②采用2 ~ 4 min 的电泳时间,电泳漆膜的质量是符合要求的,外观呈Ⅰ~Ⅱ级状态。

4.3 试验Ⅲ
在参比工艺条件下泳出样板,然后切断电泳电源,漆浴中浸泡泳上漆的样板,使其漆膜返溶,测定不同时间样板返溶的失重情况,见图3。考虑到数据中W 的数值是在漆液浓度不断下降的情况下得到的,对W 校正为W1 (下同)。
A 线:为参比条件下,特定时间(3 min)单位面积上漆膜质量;
B 线:为参比条件下,特定返溶时间(2 ~ 30 min)时,单位面积上漆膜质量的变化;
C 线:为B 线的校对值线;
D 线:为参比条件下,特定返溶时间(2 ~ 30 min)时,单位面积上漆膜溶解质量的变化(即A 线值减B线值)。

试验结果如下:
①电泳漆膜在漆液中的返溶质量和返溶时间成线性关系,可以用公式⑶表示:
K 参=K 返·g·t 返⑶
K 返是漆膜的溶解系数,它等于直线D 的斜率,可从直线数值求出:
K 返=(2-0)/(23-0)=0.087 mg·cm-2·min-1
②在本试验条件下,漆膜在30~35 min 内返溶完。
③控制在10 min 以内的返溶时间,电泳漆膜的厚度符合要求,外观呈Ⅰ~Ⅱ级状态。

4.4 试验Ⅳ
参比工艺条件下,泳出2 块样板,取1 块在漆浴中浸泡,且施加不同低电压30 min,测定不同低电压(V 缓)下,30 min 时对漆膜的溶解作用,见图4。

曲线A 为参比工艺条件下,同一漆浴时,单位面积上漆膜质量的变化;
曲线B 为参比工艺条件下泳出样板,浸在漆浴中选用不同的缓溶电压(V 缓为1 ~ 50 V),30 min 后样板单位面积上漆膜质量的变化。
曲线C 为曲线B 的校正值线。
试验结果如下:
①在本参比工艺条件下,电压10 ~ 15 V 范围内漆粒在零件上的电沉积和漆粒由漆膜向漆浴溶解存在着动平衡的关系(A 线与C 线的交点)。
②电泳后的漆膜浸泡在漆浴中,施加5 ~ 30 V 的缓溶电压,30 min 内漆膜的质量是符合要求的,外观呈Ⅰ~ Ⅱ级状态。

4.5 试验Ⅴ
参比工艺条件下,泳出2 块样板,取1 块在漆浴中浸泡,且施加不同低电压,测出不同低电压下,浸泡不同工艺时间对漆膜质量的缓溶作用,见图5。


图5 甲、乙、丙分别显示电泳后样板在15 V、10V、5 V 时,漆膜质量的变化。直线A 为参比工艺条件下单位面积上漆膜质量;直线B 为特定的缓溶电压下,缓溶60 ~ 240 min后,样板单位面积上漆膜质量的变化;直线C 为直线B 的校正值线。
试验结果如下:
对电泳漆膜进行缓溶时,电泳漆膜溶解的质量与缓溶时间成线性关系,可以用公式⑷表示;
W=K 缓·t 缓⑷
K 缓是漆膜的缓溶系数,它等于图5 中直线C 的斜率:
15 V 时:
K 缓15=(3.8-3.5)/(240-120)=0.0025 mg·cm-2·min-1
10 V 时:
K 缓10=(3.2-3.0)(/ 240-120)=0.00167 mg·cm-2·min-1
5 V 时:
K 缓5=(1.66-1.85)/(240-120)=-0.00158 mg·cm-2·min-1
上述计算表明,在15 ~ 10 V 时,K 缓呈正值(缓增),在5 V 时,K 缓呈负值(缓溶)。
②在试验范围内:
V 缓为15 V 时,缓溶时间不大于60 min 时,样板的厚度是符合要求的,外观呈Ⅲ级状:缓溶时间在60~ 120 min 时,外观分别呈Ⅳ、Ⅴ级状态。
V 缓为10 V 时,缓溶时间不大于120 min 时,样板的质量是符合要求的,外观呈Ⅱ~ Ⅲ级状:缓溶时间到240 min 时,外观呈Ⅳ级状态。
V 缓为5 V 时,缓溶时间不大于120 min 时,样板的质量是符合要求的,外观呈Ⅱ级状态:缓溶时间大于120 min 时,外观呈Ⅲ级状态。

4.6 试验Ⅵ
参比工艺条件下,样板不泳到工艺时间,就施以低电压缓溶,缓溶不同时间后,再在参比工艺条件下完成电泳,测定低电压在电泳工艺中的缓溶效果,见图6。直线A 和A′分别为参比工艺条件下,同一漆浴,电泳不同时间(1.0 ~ 2.5 min)后,样板单位面积上漆膜质量的变化。直线B 和B′分别为电泳不同时间(1.0 ~ 2.5 min)后,样板分别停止电泳30 min、60 min,并施加15 V缓溶电压,随后再继续电泳到3 min,样板单位面积上漆膜质量的变化。直线C 为B′的校正值线。

试验结果如下:
①电泳漆膜缓溶的质量和t 电± t 缓·电的t 电成线性关系,可以用公式⑸表示:
W 实校n= K 缓g·t 电1 ⑸
K 缓是漆膜间断缓溶系数,它等于图6 中直线C的斜率。
15 V 时:

②施加任一缓溶电压时,其效果和t 缓有关。
③3 min 内,不管采用那一种间断的电泳时间,在60 min 内漆膜的质量是符合要求的,其外观分别呈Ⅰ~Ⅱ级状态。

5 试验的工艺结论和工艺设想
⑴工艺结论:流水自动线的电泳生产中存在“增厚”和“返溶”问题,可以采用缓溶低电压的控制方法来解决,而漆膜的质量(厚度)和外观符合质量要求。
⑵缓溶电压可以按试验Ⅳ的方法求出。
⑶基于上述工艺结论,对流水自动电泳生产线的电气控制提出如下建议;当生产线按动运输“停止”按钮时,同时启动直流电源调压器的电动机,使调至低压(低电压处设限位开关)。当按动运输链“启动”按钮时,也同时接通调压器调压电动机,使调至高电压(高电压处设限位开关)。电气线路示意见图7。

6 理论探讨
⑴动力学
①如果把电泳漆液中固体颗粒的电沉降视为是克服水性漆溶液的摩擦阻力,同时不计固体粒子离开漆液的“胶团引力”,那么漆膜上的固体分向水性溶液的溶解速度大体相等。根据Stokes 公式:

式中:V———沉降速度,cm/s;
D———把水性漆悬浮颗粒视为球体,D为球体半径;
QS———悬浮体固体分的密度;
Q1———液体分散体密度;
η1———液体动态黏度。
②假设漆粒是球状带电体,在电泳施加电压时,处在电场E 中的漆粒受到的力K 可以用下式表示;
K = Q × E ⑺
式中:Q———漆粒带的电荷。
如果力K 不受水性介质摩擦阻力R 所抵消,带电荷Q 的粒子在力K 作用下总是在不断加速运动。根据在水性介质中以速度V2 运动圆球Stokes 定律:
R = 18.84·η2·V2·D ⑻
式中:D———水性漆粒子半径;
η2———水介质内摩擦力。
当K=R 时,水性漆粒子达到终速度,故:

Huneke 指出,在分散液中存在的粒子是一个球形电容器, 见图8。

其电容量同粒子半径D、介质的介电常数ε 成正比。电容器两极之间电位差称动电位,用V 动表示,按照塞本电学原理:
Q=ε·D·V 动      ⑽
把⑽式带⑼式

上式说明,介质介电常数ε,动电位V 动和电场强度越大,而内摩擦力越小时,电泳漆粒子的游动速度越快,而与粒子半径D,即粒子的空间尺寸是没有关系的。
③当对电泳漆膜施加缓溶电压时, ⑾式中V 动就是V 缓了。把⑹式和⑾式联立:

上式说明V 缓的大小是和(QS-Q1)·D2 成正比的,和ε、E 成反比。
⑵水性电泳漆的水分散液,大致介于胶体溶液(粒子半径为10-4 cm)和粗分散液(10-2 cm)之间,就电化学观点而言,它是属胶体电介质或高分子电介质。在胶体电介质中,不但存在有相反电荷的粒子,而且存在着带相同电荷的粒子,且又彼此相靠构成所谓粒子胶束。在有高分子电介质的情况时,它至少是大分子粒子类。因此可以想象到:电泳漆粒不完全是由颜料、填料、高分子黏结剂、湿润剂的整体组合,而是各个组分的单独分散体,有时这些分子可能带相反电荷,在电场中泳向相反电极,而不沉积在一个电极(零件)上。所以在施加缓溶电压时,这些组成电泳漆涂层的粒子就会十分复杂,到底在缓溶电压下的质量动平衡是怎样改变漆膜组成的,有待进一步深入研究。要了解这一点,只要对这些经过缓溶的漆膜进行一些物理、化学性能的测定、或是对漆膜进行颜基比测定,就能进一步探讨了。
⑶在实际生产中,电泳工件与电极之间的距离是不相同的,尤其是大型的、形状复杂的零件,各个部位上的漆膜厚度是不会一致的,这点从公式⑾的分析可以得到。因此,在确定缓溶电压时,要考虑零件的大小和复杂性,从试验中得到的缓溶电压值还应进一步校正,经受生产试践的验证。
⑷从试验Ⅳ、Ⅴ看到:缓溶系数在15 V 和10 V 时都呈正值,而试验Ⅵ中,尽管缓溶电压的施加方法略有不同,缓溶系数K' 却是负值。
造成这种现象的原因试分析如下:
假定电泳样板时间确定为3 min,同时把试验Ⅱ的结果(3 min 内)换成另一种形式表达在图9 上,图中每个层次代表油漆粒子层。

对分别电泳了l、2、3 min(即t 电)的三部分漆膜,其厚度(δ)是:δ3≥δ2≥δ1。当施加缓溶电压时,就会产生Il、I2、I3 三个电流。油漆粒子层越厚电流的阻力就越大,也即;R3 > R2 > R1。基本电学知识告诉我们V = I·R,对上述三部分漆膜上的电流Il > I2 > I3。从缓溶效果来讲t 电缓的效果要比t 电缓、t 电缓要好,这时的K' 自然就是负值了。

为您推荐

返回顶部