随着光固化技术的日益发展, 紫外光固化涂料的发展已经应用到了包装、建材、电子通讯、交通等许多领域, 它以高效、节能、环保、快干、低能耗的优势在涂料工业中迅速成为人们研究的热点。目前光固化聚氨酯丙烯酸酯涂料的制备多以2, 4- 甲苯二异氰酸酯(TDl) 为原料[ 1、4] , 但是由此种异氰酸酯合成的预聚物配制的涂料易发黄, 在光照过程中会形成有色的醌或偶氮结构, 耐候性很差。本文采用异佛尔酮二异氰酸酯( 1PDl) 制备预聚体, 其配成的涂料具有优良的耐黄变性和柔顺性, 通过调节聚氨酯中软链段的比例和稀释单休, , 可以制得满足不同要求的和特殊用途的可光固化涂料。
1 实验研究
1. 1 原料及规格
异佛尔酮二异氰酸酯( 1PDl) , 工业级, 进口;聚醚乙二醇1 000( PEGl000) , 工业级, 拜尔公司,( 用前用油浴120 ºc 在搅拌状态下加热2 h, 除去内部少量水分) ; 甲基丙烯酸羟丙醑(HPMA) 工业级, 进口
( 用前用总质量3% 的5A 分子筛提前12 h进行除去水分后搁置处理) ; 三月桂酸二丁基烯( DBTL) , AR; 丙烯酸丁酯( BA) , 二丙二醇类二丙烯酸酯( DPGDA) ; 新戊二醇丙烯酸酯( NPGDA) , 三羟甲基丙烷三丙烯酸酯(TMPTA) , 工业品, 宜兴宏辉化工有限公司; 甲基丙烯酸缩水甘油酯( GMA) , 工业品进口; 对苯二酚, AR; 二正丁胺, 上海凌锋化学试剂公司, CP; 乙醇, AR; 光引发剂1 173# 恒桥产业股份有限公司。
1. 2 PUA 预聚体的合成
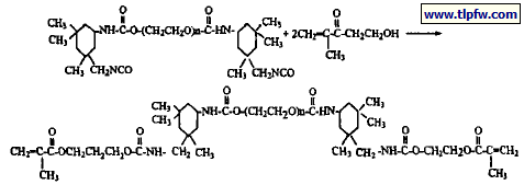
第一步: 在装有搅拌器和温度计的合成反应瓶中加入一定量的IPDI, 水浴恒温至70 ºc , 在搅拌状态下加入与IPDI 物质的量比为2:1 的聚醚乙二醇( 相对分子质量1 000) 和少许催化剂DBTL, 每隔一段时间测定反应物IPDI 的) -NCO 基团的含量, 直至IPDI 的- -NCO 的量消耗接近50%, 然后降温进行第二步反应。第一步反应过程如下:

第二步: 温度降低到约50ºc , 然后在反应器中加入与IPDI 中剩余) -NCO 的量比为1:1 的HPMA、少许催化剂和0.1% 的对苯二酚阻聚剂恒温反应, 每隔一段时间测反应物中的) -NCO 的含量, 直至) -NCO 的含量降低至反应物质量的0.5% 以下后, 再加入少量乙醇搅拌反应1 h, 出料。反应过程如下:

反应物中) -NCO 含量的测定采用二正丁胺法, 反应物中C=C 的损耗表征方法为吗啉加成法测碘值。
反应物中) -NCO 含量的测定采用二正丁胺法, 反应物中C=C 的损耗表征方法为吗啉加成法测碘值。
1. 3 涂料的配制
将合成的PUA 分别与等质量的DPGDA, GMA,NPGDA,TMPTA, BA 等单体混和后, 加入6%的光引发剂1 173, 搅拌均匀, 用刮涂法涂在涂有一薄层脱模剂的玻璃板上放在光固化机上进行固化, 等固化完全后取下固化模进行DMA 试验, 选出机械性能较好的单体配制成机械性能优异的配方涂料。试验结果表明最优配方为: IPDI( 50% ) , GMA( 30%) , DPGDA( 20% ) ,光引发剂占涂料总量的6%。采用南京紫光光涂技术公司生产的光固化机对涂膜进行固化, 功率500 W, 灯距14 cm, 固化完全程度确定采用指干法。
将合成的PUA 分别与等质量的DPGDA, GMA,NPGDA,TMPTA, BA 等单体混和后, 加入6%的光引发剂1 173, 搅拌均匀, 用刮涂法涂在涂有一薄层脱模剂的玻璃板上放在光固化机上进行固化, 等固化完全后取下固化模进行DMA 试验, 选出机械性能较好的单体配制成机械性能优异的配方涂料。试验结果表明最优配方为: IPDI( 50% ) , GMA( 30%) , DPGDA( 20% ) ,光引发剂占涂料总量的6%。采用南京紫光光涂技术公司生产的光固化机对涂膜进行固化, 功率500 W, 灯距14 cm, 固化完全程度确定采用指干法。
1. 4 涂膜性能测试
光泽: 目测;
附着力: 划格法( 基材为表面用1 500目砂纸打磨过的木质平板) ;
柔韧性: 动态机械及热力学分析法; 耐候性: 在室内自然状态下放置30 d后观察其表面, 看是否有发黄、发花、裂纹、发脆等现象, 并与同等配比的由2, 4- 甲苯二异氰酸酯( TDl) 合成的PUA 所配制的涂料成膜作比较。
2 结果与讨论
2. 1 催化剂用量对PUA 合成的影响
第一步反应: 在相对于总投料量不同重量比的DBTL 作用下对) -NCO 含量( 相对) 总投料量随时间的变化进行了测定( 测定温度为恒温75ºC ) 。不同用量的催化剂对PUA 合成过程影响的实验结果见表1和图1。

由表1 可以看出, 在第一步反应中, 加入一定量的催化剂DBTL, 随着反应时间的增加, 反应物中)-NCO 含量在逐步减少, 特别是在前2 h 的时间) -NCO含量下降的很快, 说明前2 h第一步的反应较为剧烈, 以后随着时间的推移, 反应变得平和, 特别是到4 h后, ) -NCO 含量降低很慢, 说明此时反应速率已经降得很低了; 同时从表1 数据还可以看到当增加催化剂DBTL 的用量时, 反应速率会明显增加, 同时实验中还发现, 当催化剂的用量超过0.15% 时, 反应变得不易控制, 反应速度极快, 很容易发生交联。对于第二步反应, 采用不同量的DBTL 试验时发现, 反应速率对催化剂DBTL 的用量不是很敏感, 说明对于第二步反应来说, 催化剂DBTL 的贡献不大。

2. 2 温度对PUA 合成过程的影响
2. 2. 1 温度对一-NCO 消耗速率的影响
在PUA 合成的过程当中, 当升高温度, 不论是第一步反应还是第二步反应, 反应的速率都会增加, 表2 是当催化剂DBTL 的用量在0. 1% 时不同温度下)-NCO 的变化过程情况。
2. 2. 2 温度对C=C 双键的影响
随着温度的升高, C=C 受破坏的程度也在逐渐增大, 而且反应的时间越长, C=C 的损失越严重, 因此在第二步反应中要使HPMA 接枝到第一步的产物上去, 不但要考虑到温度的影响, 还要考虑反应时间的限制, 总体的原则是在反应时间许可的情况下尽量降低反应温度。表3 是反应产物在不同温度下4 h后所测得的碘值变化量。
由表3 可以看出: 当温度小于55ºC 时碘值的下降很小( < 3.8% ) , 况明双键的损失很小, 因此为确保反应物中C=C 尽量损失最少, 在第二步合成反应中选择反应温度50ºC , 这不但保证了C=C 的含量, 而且还避免了因C=C 打开发生链式聚合造成体系粘度过大的弊端。
2. 3 成膜的物理性能
2. 3. 1 成膜的光泽
目测光泽良好, 可以用作汽车摩托车等高档消费品的罩光清漆, 但是当涂料中GMA 的含量超过过多,会影响固化速度, 原因是由于其中含有甲基距离双键很近不利于紫外光打开双键, 影响到了固化速度。
2. 3. 2 附着力
由于GIVlA 的结构中有
所以, 具有相当高的附着力, 划格法( 基材为表面用1 500目砂纸打磨过的木板) 测试显示, 方格未破损率> 90/ 100,通常都可达到95/ 100 以上。
2. 3. 2 附着力
由于GIVlA 的结构中有
所以, 具有相当高的附着力, 划格法( 基材为表面用1 500目砂纸打磨过的木板) 测试显示, 方格未破损率> 90/ 100,通常都可达到95/ 100 以上。
2. 3. 3 成膜的耐候性
将涂料成膜放置室内30 d观察, 最优配方的成膜无发黄、发花, 裂纹、发脆等现象, 但由TDI 制的的成膜发黄现象严重, 且有发脆现象。
2. 3. 4 成膜的玻璃化温度
2. 3. 4 成膜的玻璃化温度
玻璃化温度Tg 可以反映出涂膜的柔韧性, 一般来说Tg 越高, 常温下涂膜的柔韧性越差。Tg 一方面可以根据第一步反应中软链段聚醚二元醇的相对分子质量来调节, 在一定范围内相对分子质量越大, Tg越低, 柔韧性越好; 另一方面可以由涂料成分各组分的玻璃化温度来决定, 共聚物的Tg 与各组分的Tg 之间有如下粗略的关系[ 5] :
式中Wn 对应各组分的质量分数,
对应于用绝对温度表示的相对分子质量很大时的Tg 由式( 1)可以看出: 当相对分子质量很大时, 共聚物的Tg 与各个组分的质量组分Wn 和玻璃化温度Tgn有加和性,例如在实验中发现当用BA ( 玻璃化温度Tg 为-56ºc ) 所制得的共聚物成膜Tg 很低, 柔韧性相当好,因此最终涂膜的Tg 就由以上两方面决定, DMA 实验测得成膜的Tg 为62, 63 ºc ( 如图2) 。

对应于用绝对温度表示的相对分子质量很大时的Tg 由式( 1)可以看出: 当相对分子质量很大时, 共聚物的Tg 与各个组分的质量组分Wn 和玻璃化温度Tgn有加和性,例如在实验中发现当用BA ( 玻璃化温度Tg 为-56ºc ) 所制得的共聚物成膜Tg 很低, 柔韧性相当好,因此最终涂膜的Tg 就由以上两方面决定, DMA 实验测得成膜的Tg 为62, 63 ºc ( 如图2) 。
图3 中( 1) 是DMA 测得由IPDI 配制最优配方成膜的应力应变曲线。由曲线可以看出在一定的振动频率( 10 Hz) 下成膜的模量曲线的斜率都在不停的变化从开始到1. 5 MPa的应力作用下, 应力的变化基本呈线性, 当应力超过1. 5 MPa时应力变化趋势逐渐增大, 当到达3MPa时, 曲线变得比较缓和, 说明此时的模量也增大直至断裂; 图3 中( 2) 是用TDI 制得的同种配方成膜的应力应变曲线, 与( 1) 相比, 当应力达到2. 7 MPa就已经断裂, 从曲线的变化趋势来看, 曲线增长较图3( 1) 稍陡, 反映在成膜的物理性能上较前者脆硬, 说明由IPDI 制得的成膜更加具有较好的耐冲击性能。

3 结论
( 1) 在实验室用异佛尔酮二异氰酸酯( 1PDl) 制备可光固化聚氨酯丙烯酸( PUA) 预聚体采用本文所述的两步法合成时最佳工艺条件为: 第一步反应温度控制在70ºc 左右, 催化剂( DBTL) 用量0.1% 为宜, 第二步反应温度控制在50ºc 左右, 整个合成反应时间9 h。
( 2) 涂膜的机械物理性能由预聚体和单体共同决定, 其柔韧性可以通过调节PUA 预聚体中软链段的相对分子质量和不同的稀释单体来完成, 而其附着力可以选择枝化度大的带有侧枝的原料来配置( 如用HPMA 合成PUA) 以及具有一定特殊基团( GMA 的结构中有
等) 。
等) 。
( 3) 由IPDI 制得的光固化涂料不但光泽性好, 而且耐候性好, 不易发黄, 而且具有比TDI 制的涂料具有更好的柔韧性和耐冲击性能。