异氰酸酯改性丙烯酸电泳涂料

 丙烯酸电泳涂料, 具有优良的丙烯酸树脂的特性, 同时兼顾电泳涂料的优点. 即漆膜具有良好的保光保色性, 颜色鲜艳, 色泽饱满, 漆液泳透力高, 附着力强, 涂装工艺自动化程度高,…

 丙烯酸电泳涂料, 具有优良的丙烯酸树脂的特性, 同时兼顾电泳涂料的优点. 即漆膜具有良好的保光保色性, 颜色鲜艳, 色泽饱满, 漆液泳透力高, 附着力强, 涂装工艺自动化程度高, 施工环境优良, 安全系数高, 工件涂覆生产率高, 异形工作涂覆质量高等优点[ 1~3] . 但是, 由丙烯酸树脂制得的涂料, 在防腐防锈方面的性能不佳, 所得的漆膜使用寿命不长. 作者试图用耐性良好的异氰酸酯对其进行改性, 以期获得良好耐性的涂料.

1 实验部分
1. 1 实验试剂
甲基丙烯酸甲酯, 丙烯酸丁酯, 丙烯酸􀀁-羟丙酯, 丙烯酸, 丙烯酰胺, 丁醇, 异氰酸酯预聚体等.
1. 2 实验仪器
DDS-11A 型电导率仪; Q FZ-Ⅱ型漆膜附着仪;PHS-25型酸度计; QCJ-Ⅰ型漆膜冲击器; QT X-Ⅰ型漆膜弹性测定仪等.
1. 3 漆膜制备
1. 3. 1 丙烯酸预聚体合成
在备有搅拌, 回流, 充氮保护, 滴加料液装置的反应器中, 装入部分溶剂, 按配方滴加各单体混合物; 同时, 加入引发剂; 反应3 h 后, 补加少量引发剂, 继续反应1 h. 降温, 得到预聚树脂.产品的外观为无色或略带浅黄色透明液体. 粘度( 涂-4) : 约60 s, 固体含量: ( 50±2)% , OH 含量:1. 5% 左右.
1. 3. 2 改性树脂合成
将丙烯酸预聚体与异氰酸酯预聚体, 按配比NCO:OH= 1: 2~ 3( 摩尔比) 进行混合, 加入引发剂, 充分搅拌; 室温下反应10 h 以上.
1. 3. 3 电泳液配制及电涂过程
混合树脂中, 分别加入颜料, 填料; 用高速分散机分散, 经砂磨机研磨, 调制成色漆树脂. 加入适量的中和剂, 调节漆液pH 值至控制点; 再加入稀释剂. 同时, 加入少量表面活性剂, 配成一定浓度的电泳浆液. 将表面处理后的工件, 放在电泳槽上涂饰,选择适当的工艺参数[ 4] , 以获取满意的涂覆质量.

2 结果与讨论
2. 1 丙烯酸预聚体组成及表征
选用甲基丙烯烯酸甲酯, 丙烯酸丁酯为主要单体, 可以调节共聚物的玻璃化温度, 从而获得柔韧性满意的漆膜[ 5] , 苯乙烯取代甲基丙烯酸甲酸为硬单体, 虽然可提高漆膜耐化学性能, 但使漆膜保光保色性能变差, 不适合高档涂件涂饰.
选择丙烯酸ß-羟丙酯, 丙烯酰胺为活性单体, 主要用途在于提高漆膜的交联能力, 其用量直接影响漆膜性能; 用量太少, 不能保证预聚体分子链有足够反应能力; 用量太大, 交联程度增大, 最终导致漆膜
附着力, 柔韧性变差.混合单体中加入丙烯酸, 可控制预聚体分子链中的羧基含量, 有利于提高漆膜附着力, 同时, 也有利于树脂的水溶化程度提高. 有资料介绍[ 6] , 丙烯酸的存在, 加速了异氰酸酯与羟基的反应能力, 从而加快了涂膜固化速度.
各单体组份用量见表1. 将此预聚体进行红外表征, 结果如图1示. 其中1750~1735 cm- 1为饱和酯的特征吸收峰, 2500~3300 cm- 1为羧酸根所做贡献[ 7] .


图1 丙烯酸预聚树脂IR 谱图
2. 2 预聚体反应条件及工件涂覆工艺参数
丙烯酸预聚体的合成, 采用的是自由基溶液共聚合的方法[ 8] ; 考虑各单体竞聚率的差异, 反应原料采用混合-滴加方式; 反应时间, 单体浓度, 引发剂用量等因素, 对反应均有影响, 经实验选定, 最佳反应条件为: 反应时间: 约3 h, 单体浓度: 约50% ( 体积分数) ; 引发剂用量: 0. 1%( 质量分数) . 工件的最佳涂覆工艺参数, 列于表2.

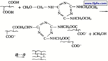
2. 3 交联固化反应机理及树脂表征
通过交联固化, 在预聚体树脂上, 引入共轭稳定的六元环结构, 从而达到提高漆膜耐性的目的, 其中交联固化反应机理可能是:

交联改性后的树脂进行红外表征, 结果见图2.

图2 改性后树脂的IR 谱图
  图1与图2比较, 在900~1100 cm- 1出现数个中等吸收峰, 它们分别是取代不同部位芳香酯及脂肪胺的特征吸收峰, 1300~1600 cm- 1中等吸收峰, 为环的伸缩振动所致, 1500~1600 cm- 1强吸收峰是胺类六元环的吸收峰, 2500~3200 cm- 1为NH 伸缩振动所做贡献.

2. 4 漆膜性能测试
用T GD-5000型差热微天平联用分析仪, 程序升温, 对交联树脂和预聚树脂的耐热性进行测试, 结果如图3, 4. 显然, 树脂的耐热性能已得到大大提高; 交联前后树脂失重率30% 的耐热温度,由原来的120 ℃提高到340 ℃.

改性前后, 漆膜其它性能测试结果见表3, 在保证电泳漆膜基本性能的同时, 引入异氰酸酯, 漆膜耐碱性, 耐盐水性能, 也得到了较大的提高. 改性前后,漆液的泳透力略有下降, 其原因比较复杂, 改性树脂
类型变化, 分子量变化, 漆液的pH 值, 固含量的波动均能造成泳透力的变化.扫描电镜检测进一步显示, 漆膜分别在0. 1mol / L NaOH 碱液, 25% 的NaCl 溶液中浸泡24 h后, 其表面结构基本完好.

3 结 论
异氰酸酯改性后的电泳涂料, 在具有较高的泳透力而漆膜的附着力, 冲击强度, 柔韧性等基本性能保持不变的情况下, 改性后的树脂耐热性明显提高,树脂失重30% 的温度由原来的120 ℃升到340 ℃, 同时, 漆膜耐腐蚀性的时间大大延长, 由原来的不足3h 提高到36 h 以上. 可见, 改性有利于拓宽漆膜的应用范围.

为您推荐

返回顶部