新型阴极电泳涂料的研究进展

1 前言 经过近30 年的发展,国内外阴极电泳涂料的研究和应用领域均发生了很大的变化,已研究开发出了第五代、第六代乃至第七代产品。为了满足不同的需求,已经开发了标准型、低温烘烤型、…

1 前言
经过近30 年的发展,国内外阴极电泳涂料的研究和应用领域均发生了很大的变化,已研究开发出了第五代、第六代乃至第七代产品。为了满足不同的需求,已经开发了标准型、低温烘烤型、厚膜型、边角覆盖型、耐候耐久型等阴极电泳涂料。其应用领域已遍及汽车工业、轻工、仪表、建材等诸多行业,其中汽车车身用阴极电泳涂料占全部电泳涂料的95%以上[1]。目前,随着环保问题日益成为人们关注的焦点,世界各国相继制定了一系列环保法规、法律和准则,如美国66 法规、EPA 污染物控制条例、欧盟RoHS 指令、REACH 法规等,促使全球涂料业向低毒/无毒、对环境影响最小的方向发展。阴极电泳涂料属于环境友好型水性涂料,但同样面临着进一步向降低成本、无重金属、低挥发性有机化合物(VOC)、降低固化温度、高性能化等方向发展[2-3]。

2 新型阴极电泳涂料
2. 1 无铅型阴极电泳涂料
早期,人们为了提高阴极电泳涂膜的防锈防腐蚀性能,常加入含铅化合物。但由于铅金属对环境造成极大污染,应尽量减少使用,因此开发无铅阴极电泳涂料一直是研究的热点。Sakamoto Hiroyuki 等[4]报道采用元素周期表中第三族第4、5 或6 周期的任一种或多种金属元素的化合物,如醋酸铈、醋酸钕等作为抗腐蚀剂,添加到含有锍基和炔丙基的树脂中[质量比为(0.3 ~ 10)∶100],制成无铅型阴极电泳涂料,其防锈防腐蚀性得到了极大提高。Kojima Yoshio 等[5]用磷酸锌、磷酸铝、亚磷酸锌、钼酸铝等金属化合物与阳离子型环氧树脂和封闭型异氰酸酯固化剂制得无铅阴极电泳涂料,该涂料具有重金属离子含量低(≤500 mg/L)、有机物挥发少(w ≤1%)和泳透力高等优良性能。Morishita Hiroyuki 等[6]采用有机锡化合物作固化催化剂,加入到阳离子型氨改性环氧树脂和交联剂中,研制了具有高固化性能、高光泽度等优良性能的无铅阴极电泳涂料。Tanimoto Motoi等[7]利用金属铋胶粒代替铅化合物作抗腐蚀剂,添加到含唑烷酮环的氨改性环氧树脂中,研制了无铅无锡且贮存稳定性好、涂膜耐腐蚀性比含铅型阴极电泳涂料更优良的阴极电泳涂料。Sugawara Yasuhisa 等[8]首先将半封闭异氰酸酯接枝到氨改性环氧树脂上,再用有机酸中和形成分散性乳液,然后将平均粒径为1 ~ 10 μm的铝颜料作为抗腐蚀剂分散到该乳液中,成功合成了耐腐蚀性很强的阴极电泳涂料。无铅阴极电泳涂料在国外已成研究的热点并取得了很大进展,但国内有关这方面的研究还很少。

2. 2 低VOC 型阴极电泳涂料
阴极电泳涂料中常含有一定量低沸点有机溶剂,以提高成膜质量。但依照低VOC 和Hazardous AirPollutants(HAPs)法规的要求,有机溶剂的使用需要严格限制在一定范围内。Kato 等[9]发现,多羟基聚醚类阴极电泳涂料不仅VOC 含量低,且能在镀锌合金钢板上形成无针孔涂膜,耐腐蚀性好。Akihiko Shimasaki 等[10]则对含有聚醚类化合物的低VOC 型阴极电泳涂料的结构和性能进行了详细研究,其所采用的含聚醚类化合物的分子量不低于1 000,结构至少包含图1 中式(1)~(4)的一种。

其中:R1 和R3 分别代表C1 ~ C10 的烷基或苯基;
R2 代表H 或─CH3,其中p 和q 至少为2 以上整数,式(1)和(2)中的R 可能相同或不同;
R4 代表C2 ~ C10 脂肪族或脂环族烃基;
R5 代表C4 ~ C24 直链或支链烯烃基;
R6 和R7 分别代表H、─CH3 或─CH2CH3,其中m 和n 至少为2 以上整数,式(4)中的R6 和R7 可能相同或不同。
图1 低VOC 型阴极电泳涂料中聚醚类化合物的结构式

烘烤时,涂膜中聚醚类化合物的羟基与基料树脂或固化剂交联而形成三维网络结构,使涂膜的耐腐蚀性大大增强。由于该聚醚类化合物分子量低,可以作为增塑剂,较好地调整涂料组分烘烤时的流动性能,在低VOC 含量时,使所得涂膜仍可保持光滑平整、无针孔,且具有良好的耐腐蚀性能。

2. 3 UV 固化型阴极电泳涂料
热固化型阴极电泳涂料的涂膜固化温度一般在140 ~ 180 °C,不仅导致其在一些热敏性材料上很难推广,而且高温固化造成了低分子量柔性树脂的挥发,既浪费材料又污染环境。UV 固化技术完全符合“3E”原则,即:Energy,节约能源(一般UV 固化能耗为热固化的1/5);Ecology,生态环保(UV 固化技术被称为“绿色技术”);Economy,经济(UV 固化装置紧凑,流水线生产,加工速度快,劳动生产率高,有利于降低生产成本[11])。
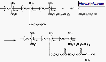
UV固化阴极电泳涂料集阴极电泳和UV固化树脂的特点于一身,它不仅含有乙烯基供UV 固化,而且还含有亲水性基团保持水溶性。水性UV 固化阴极电泳涂料易出现的最大问题是涂膜中过高的水分会严重影响固化效果和涂膜外观,因此在UV 固化之前,需增加一个闪蒸过程,减少湿膜的水含量,从而提高固化效率和涂膜性能[12]。Yang-Bae Kim 等[13]利用丙烯酸单体进行自由基聚合得到丙烯酸羟基树脂,然后再与甲基丙烯酸乙氧基异氰酸酯(methacrylic oxyethylisocyanate, MOI)反应,合成了含乙烯基的叔胺聚合物,如图2 所示。将该叔胺类聚合物用乳酸中和并加入Darocure 1173 光引发剂,可获得分散稳定性优良的丙烯酸类UV 固化阴极电泳涂料,形成的涂膜光泽和耐候性好。若再加入季戊四醇三聚丙烯酸酯(PETA)于该分散体中,可使粒子的粒径变大,电沉积量增加,提高固化效率,增强所得涂膜的耐腐蚀性。

图2 含乙烯基叔胺聚合物的合成
Yang-Bae Kim 等[14]通过缩合反应在聚氨酯主链末端引进甲基丙烯酸基团,用乳酸中和并加入光引发剂,加水分散后得到粒径约100 nm 的稳定的聚氨酯型UV固化阴极电泳涂料,如图3 所示。

图3 UV 固化聚氨酯树脂合成路线
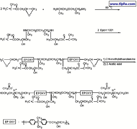
Yang-Bae Kim 等还通过图4 所示的合成路线,合成了丙烯酸改性环氧型UV 固化型阳离子树脂。用该树脂制备的阴极电泳涂料,所得涂膜不但具有高耐腐蚀性和高附着力,而且光泽好,耐候性优良[15]。

图4 UV 固化型丙烯酸改性环氧–胺类阳离子树脂的合成路线

2. 4 薄层型阴极电泳涂料
节约资源的观念日益深入人心,人们也开始探索比传统涂料(包括电泳涂料)更经济高效的阴极电泳涂料──薄层型阴极电泳涂料。传统阴极电泳涂料所得涂膜厚度约20 μm,薄层型阴极电泳涂料的涂膜仅为传统阴极电泳涂料的1/2,因此可显著降低涂料的用量。薄层型阴极电泳涂料的技术关键是涂层的交联密度高且致密。Sakamoto Toshiaki[3, 16]制备了一种含有硅粒(空隙量为0.44 ~ 1.8 mL/g,平均粒径仅10 μm)的无铅阴极电泳涂料,树脂为含有质量比为50/50 ~ 90/10的唑烷酮基氨改性环氧树脂和封闭型异氰酸酯固化剂,其中所含硅粒约为颜料总质量的1% ~ 30%,该涂料具有很强的泳透力,形成的涂膜表面光滑,厚度仅10 μm 就具有优良的耐腐蚀性。采用溶剂扩散方法测得所成涂膜的扩散率平方根不小于2.5,在电压240 V和膜厚15 μm 的条件下,调节沉积膜中电荷转移媒介的量和黏度可控制涂膜电阻为1 000 ~ 1 500 kΩ·cm2。因此可以推断,通过该方法所研制的涂料,当涂膜厚度仅7 μm 时就具有高耐腐蚀性和高泳透力等优良性能。

2. 5 自分层型阴极电泳涂料
自分层阴极电泳涂料主要是依据不同的成膜树脂具有不同的表面张力,在烘烤时产生自分层的理论而开发的。目前研究较多的是自分层环氧–丙烯酸复合阴极电泳涂料。该复合型阴极电泳涂料由不同表面张力的阳离子丙烯酸树脂和阳离子环氧树脂复合而成。在电泳涂装后进行烘烤时,熔融的漆膜产生热流动,表面张力大的环氧树脂富集于下层,表面张力小的丙烯酸树脂富集于表层。因此烘干时电泳漆膜具有层分离结构,形成以丙烯酸树脂为主的耐候性优良的表面层和以环氧树脂为主的耐腐蚀性高的底层,实现了电泳涂装的底面合一;另外,由于涂层中树脂浓度的分布呈梯度变化,较之于多层涂装,避免了层与层之间的附着不良等问题[17-18]。周子鹄、胡剑青等 [17, 19]对自分层环氧–丙烯酸复合阴极电泳涂料进行了大量研究。他们通过红外分析,发现复合涂膜中环氧树脂在不同厚度的分布并不均匀:从底层到顶层,环氧树脂的浓度逐渐减小,直至为零,呈梯度变化。这证实了复合涂膜形成了分层结构。涂膜的性能检测对比表明,自分层结构的涂层具有优异的耐候性和良好的耐腐蚀性,基本实现了电泳涂装的底面合一。

2. 6 边角耐蚀型阴极电泳涂料
汽车车身和零部件在冲压加工时形成大小不同的棱边和尖角,这些边角在涂装时,若覆盖性不好,很容易生锈。事实上,电泳涂装时,涂料固体组分首先集中在被涂部件尖端部位析出,然后涂装外部平面、凹面和内封面,其边缘覆盖性很好。但在烘烤时,由于涂膜受热,导致黏度下降并产生热流动,在表面张力的作用下,边缘涂料流失而降低了边缘结合力[20]。因此,为提高阴极电泳涂料的防腐蚀性能,必须解决这一问题,提高边角耐蚀性。目前,国内外有关边角耐蚀性阴极电泳涂料的研究已有较大进展。W. Collong 等[21]报道可通过改变无机颜料的含量来改变电泳涂层的流变性能,当无机颜料含量增加时,电泳涂膜烘烤时黏度增大,流失减小,从而提高了边缘结合力。但随着颜基比增大,涂膜外观橘皮变重,光泽降低。Yang-Bae Kim 等[22]报道通过在阴极电泳涂料中添加微凝胶的方法可大大提高阴极电泳涂料的边角耐蚀性。以偶氮二异丁腈(AIBN)为引发剂,在阳离子氨基环氧树脂中利用乙烯基的水分散聚合作用制得了含季铵盐基团的环氧–丙烯酸微凝胶。该方法所制得的微凝胶粒径和交联密度可控,在阴极电泳涂料中分散稳定性好,对涂膜外观影响小,且可改善涂膜烘烤时的热流动性能,降低表面张力,从而提高了阴极电泳涂料的边角结合力。当固化膜中该微凝胶量大于7%时,盐雾试验168 h 仍无锈点出现。陈卫东等[23]通过在环氧树脂中引入含有活泼氢胺基的有机硅烷偶联剂或在含有活泼氢胺基的树脂中引入含有环氧基团的有机硅烷偶联剂,中和分散在水中并由硅氧烷基水解缩合,也制得了微凝胶。将该微凝胶作为添加剂应用到阴极电泳涂料中,利用微凝胶独特的流变学特性,有效地控制了烘烤时涂膜的流动,大大提高了阴极电泳涂料的边角耐蚀性、耐油污性等性能。

3 结语
阴极电泳涂料正向着无铅无锡、低VOC、UV 固化、边角耐蚀、底面合一等环保、节能、节约资源和高性能方面发展。可以肯定,随着阴极电泳涂料性能的不断提高,应用技术的不断创新,其应用领域也会不断扩大,将更有利于推动阴极电泳涂料向前发展。

为您推荐

返回顶部