0 前 言
随着社会的发展和进步,用户对汽车配套塑料件的外观涂装质量要求也越来越高。汽车配套的塑料件涂料色差问题,是各生产厂家的重点工作,尤其是浅灰色金属涂料、本色涂料(白色、亮黄),在生产时极易产生色差,给生产厂家和客户带来很大的困难。
1 色差的定义及测量、评价标准
色差即两种物体在相同光源作用下,光线投射在视网膜上后形成某种信息,大脑对这种信息进行辨认,产生一种生理感觉。它必须具备3个条件:两种及以上物体、同样的光源、正常的视觉感官。通常色差的测量方法有两种:目测法和色差仪测量法。
1.1 目测法
在塑料件涂料与涂料标准板(或与整车装配)之间,并满足标准光源条件下(自然光源)用自己的眼睛目测。目测法最为敏感,一般波长变动1~2 n m时,就能觉察出颜色变化,所以色差的判定要以目测为准,但人眼测量的色差难以定量。
1.2 色差仪测量法
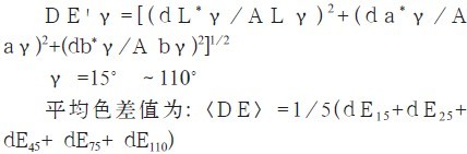
当目测法出现色差争议时,那就要用色差仪进行定量测量。爱色丽测色仪M A86是常用的色差测量仪,色差仪里面的光源一般设定为D65日光光源,观察角度分为15°、25°、45°、75°和110°5个角度(见图1),涂料颜色的定量测量一般采用国际照明委员会C I E表色系统。测量的原理是单色器照射在被测样本上,反射光通过光电管,将光信号转换成电信号,由放大器将电信号放大,并通过电流计测量其电流强度,从而实现对被测样本反射光颜色绝对值的测量,即CIELAB色空间。该颜色的L*表示明度值,a*表示红/绿值,b*表示黄/蓝值(见图2)。
经过科学家的大量试验及统计,制定了不同颜色不同偏差的许可范围系数(用A表示),通过以下公式计算5个角度反射光:

其色差评价标准见表1。
2 色差产生原因
产生色差的原因一般有材料、施工工艺及参数、人为因素。
2.1 材料
2.1.1 涂料
涂料按照颜料属性分类,通常分为本色涂料和金属涂料两种。本色涂料颜料排列均匀致密,但有些本色涂料色浆本身颜色敏感度高,极易产生色差(白色、亮黄等)。而金属涂料里铝粉排列有定向性,各角度反射值均不同,亮度差异较大,是影响色差的重要因素。
2.1.2 涂料批次差别
每个批次的涂料在批量生产前,首先确定好配方,再根据试验数据进行微调,然后进行批次化生产。不同批次涂料之间的颜色会存在细微的差别,例如两种批次的塑料件浅灰金属面漆,在同一工艺环境下,挂标准试验板喷涂,产生了色差的风险(如表2)。da*、db*值是导致〈DE〉偏差较大的主要因素。
2.1.3 塑料件材质差别
塑料件的种类颇多,每种塑料件对涂料施工参数等也有很大区别,例如A B S材料,其主要特性为附着力良好,可以不涂底漆,但A B S塑料件又分为黑色和白色,如不涂底漆,色漆难以遮盖,对色差影响非常大(如表3)。
2.1.4 涂料过期
涂料过期后,各种性能指标均会出现异常,例如没有过期的塑料件用金属色漆(如图3)和过期后(如图4)的两幅金属涂料横断面的图片,铝粉形状完全发生变化,颜色反射率也随之发生变化。
2.1.5 塑料件装配几何状态不同
涂料塑料件与车身装配的几何状态,也是导致涂料色差的重要因素。当塑料件涂料与车身装配界面不同时,光源的反射角度就会不同,目视色差效果就会产生差异。例如塑料涂料保险杠与车身翼子板装配,若在同一平面颜色过渡不好,就会导致明显的色差,所以塑料件装配几何状态也是产生色差的重要因素。
2.2 施工工艺及参数
2.2.1 施工工艺的影响
现在喷涂工艺主要分为静电喷涂和手工空气喷涂,一般整车涂装线都采用静电喷涂,其金属铝粉排列整齐,而配套塑料件(保险杠、装饰条、扰流板、后视镜、侧群等)因喷涂面积小且复杂,一般采用手工空气喷涂,金属色漆铝粉排列比较杂乱,这样就造成了金属铝粉排列上的差异,对d L*值的影响比较大。例如同批次塑料件金属浅灰面漆,分别在不同工艺条件下挂标准试验板喷涂,d L*值出现了很大的偏差(见表4),导致〈DE〉不合格。
2.2.2 工艺参数的稳定性
此是影响色差的重要因素,如涂料黏度、喷房温、湿度、晾干时间、涂膜膜厚、过烘烤等。
2.3 人为因素
在人工喷涂时,人为补漆、涂料搅拌不充分、喷涂手法错误、喷涂膜厚不均、输漆设备清洗不净等,都是影响涂料色差的因素。另每个人的眼睛对色差的判断差异也是影响色差的重要因素。
3 色差的防治
色差是涂料最常见的顽症之一,由于影响色差的因素很多,要想防止色差的发生,就得从影响色差的各方面出发,找出根本原因才能对症下药。
3.1 材料
(1) 涂料的正确选择有利于色差控制,对色差敏感的涂料,应从涂料开发认可上去寻找可以替代的色浆配方。
(2) 不同批次涂料产生色差是涂料生产厂商的技术性问题,作为涂料用户,要从采购质量环节上控制每个批次的色差。对每个批次的涂料,按照色差控制标准进行检验,检验的数据以商业报告形式反馈生产供应商和使用单位,以便双方采取控制办法,一般〈D E〉≤1.7,都有条件使用,但是生产线根据实际情况进行微调。
( 3 ) 汽车配套涂料塑料件的材质种类非常多,对不同种类、颜色的塑料件(黑白的A B S、A B S+P C、改良的P P等)共线喷涂生产,只要按照涂料正常的施工工艺(底漆+色漆+清漆),色漆膜厚达到正常遮盖力要求(塑料件金属涂料一般在10 μ m以上),可以避免因材质差别产生的色差。
(4) 涂料都有使用周期,在涂料采购时应注意涂料的生产日期、保质期等,对过期的涂料,坚决不能使用,需退回厂家进行妥善处理。
(5) 塑料件的几何形状取决于产品外观设计,不可能改变。只有从塑料件涂料的施工技术角度上控制,即保持整车与塑料装配处涂料颜色合理过渡(〈DE〉≤1.4)。
3.2 施工工艺不同
施工工艺不同取决于工艺规划和设计问题,很难从硬件上控制色差问题,通常对塑料件涂料进行调色或调整施工工艺参数来解决。下面就生产实例的不同施工工艺进行分析、试验、讨论(见表5)。造成数据差异最主要因素是喷涂的工艺不同,要解决这两个工艺问题,需要技术服务人员进行现场调色。
(1) 选择调色的方向,即选定一种颜色作为标准色方向,一般选定较为稳定的工艺色差值(静电自动喷涂)。
(2) 用标准试验挂板,对塑料件用金属浅灰色面漆调色,模拟在手工喷涂环境下做喷涂、烘烤等工艺试验(最少3组)。
(3) 测量出试验色差值并做出色差集合数据(见表5),然后将得出的数据参照标准色差值进行比较,按照色差评定标准计算,并选择最为接近色差值作为生产调色方案。若方案不通过,需按照上述步骤进行反复试验,直到符合色差评定标准为止。
(4) 为确保选定方案的可行性,通常要在生产线试生产1~2套塑料件,与整车车身涂料作目视比对,作为验证方案最终通过条件,然后再批量生产,这样可以把损失减少到最小。
(5) 控制人为操作, 不像控制机器设备。首先需要从操作文件上去规范操作流程, 制定合理的《操作指导书》、《控制计划》等文件, 按要求培训; 其次是对人操作规范进检查和指正。当个人色差评判标准出现波动时, 可以成立色差评定小组(5 ~ 10人) , 在一起协商和判定, 这样才能把人为因素影响降到最低。
4 结 语
色差问题的控制,不是一蹴而就的事,它需要我们时时刻刻去预防和控制,一个很小因素都可能引起色差事故,所以每个企业必须严格控制生产的各种因素,建立起一套色差控制体系是势在必行的事。