环保型阴极电泳漆的应用

0 引 言   电泳涂装技术是20世纪中叶研制出的一门较新的涂装技术。20世纪60年代,美国和西德分别开始阴极电泳漆树脂合成技术及阴极电泳施工原理的研究。1971年, PPG公司率…

0 引 言
  电泳涂装技术是20世纪中叶研制出的一门较新的涂装技术。20世纪60年代,美国和西德分别开始阴极电泳漆树脂合成技术及阴极电泳施工原理的研究。1971年, PPG公司率先研制出第1代阴极电泳漆,它的推出在当时社会引起轰动,迅速替代了阳极电泳漆,在电冰箱、洗衣机等金属底材上涂装使用。随着研究的不断深入, 1976年6月, PPG公司又研制出第2代阴极电泳漆——— CED3002阴极电泳漆,比第1代阴极漆的固化温度有明显降低; 1977年,由于超滤系统的发明成功解决了电泳漆液回收及净化问题,第2代阴极电泳漆开始在汽车车身上电泳涂装使用, 1978年美国通用汽车和福特汽车公司将原来使用的65条阳极电泳线全部改用了第2代阴极电泳漆。期间,兵器工业第五九研究所根据钢制药筒防腐的需要,在国内最早进行阴极电泳漆的研究,于70年代中后期研制成功国内最早的阴极电泳漆———540223各色阴极电泳漆,填补了我国阴极电泳涂装技术的空白,并在军品钢制药筒电泳防腐涂装线上推广应用。由于阴极电泳涂装的应用使涂层的耐蚀性得到较大的提高,很快替代了阳极电泳涂装。目前阴极电泳涂装已成为最重要的涂装方式之一,电泳涂装在实际应用中显示出高效、安全、经济等优点,受到世界各国的普遍重视,得到了广泛应用。现国内外汽车车身、汽摩金属零部件、药筒、弹体等金属件大量使用阴极电泳漆作为防腐底漆。据资料报导,阴极电泳的出现堪称为电泳涂装史上的第二个里程碑。

汽车涂装是汽车制造业中最严重的公害发源之一,是耗能、耗水和排放挥发性有机化合物VOC的大户,汽车制造过程中VOC排出量的90%以上来自涂装段。目前我国大多数汽车生产厂家采用阴极电泳漆作为防腐涂装[ 1 ] , 2005年我国汽车产销继续快速增长,全年生产各类汽车570. 7万辆,估计耗用各类阴极电泳漆约3. 4万吨(折合成41%双组分阴极电泳漆) 。据有关资料显示,国内汽车厂家使用的阴极电泳漆大多处于国际第2代或第3代漆的水平,少数厂家开始使用第4代阴极电泳漆,第2代至第4代阴极电泳漆采用重金属催化,大量采用了对人体有害的乙二醇类溶剂,与目前国内提倡的环境保护要求很不协调,迫切需要无铅无锡无重金属催化的国产阴极电泳漆产品供应市场。

1 环保型阴极电泳漆的要求
1. 1 涉及有关环境保护的要求
1970年,北美针对VOC排放制定了清洁空气法令(1990年重新修订) ,对汽车涂装的VOC排放量进行限制。到2005年,欧美新建设备已达到每平方米车身涂装面积的VOC排放量为45g,而我国目前汽车车身涂装的VOC排放是100~120g/m2。据统计, CED电泳段占汽车车身涂装总VOC排放量的2%[ 122 ] 。国内未出台专门针对阴极电泳漆的环保规定,可参照有关绿色材料中GB1858122001的规定执行。阴极电泳漆树脂合成当中,一般未使用苯类和卤代烯烃类溶剂,我国的有关乙二醇类溶剂的使用要求还未正式出台,但在欧美已有明确规定,涂料行业中严格限定乙二醇类溶剂的使用,鼓励使用32乙氧基丙酸乙酯等环境友好型溶剂。
对重金属的限制使用要求,由于技术缘故, CED涂装界推行较晚, 20世纪90年代初,随着新型解封剂及低温解封催化剂的出现,对铅、铬、镉、汞、锡等重金属的使用做出了较明确的规定,国家标准GB1858122001中明确限定了铅、铬、镉、汞的含量,见表1。

 无铅无锡低VOC排放环保型CED产品越来越得到汽车涂装界推崇。

1. 2 阴极电泳漆的环保要求。
1) 选择无铅无锡无重金属阴极电泳漆。铅在阴极电泳漆中的作用是:提高漆膜的耐腐蚀能力,促进氨基甲酸酯分解成异氰酸酯,促进异氰酸酯与羟基的反应,防止铁质管道腐蚀出的金属离子对槽液分散稳定性的影响。因而要求环保型阴极电泳漆树脂本身就具有良好的耐腐蚀性,树脂内的氨基甲酸酯基团具有低温解封性能及相应的槽液施工稳定性能。降低槽液的颜基比,同时降低了漆膜密度。
2) 减少树脂合成有机溶剂的含量,降低VOC排放量,节省资源。早期的阴极电泳漆树脂溶剂含量较高,树脂挥发份含量达30% ,刚配置成槽液后,有机溶剂含量高达6. 6% ,正常施工时有机溶剂的含量还需维持在3%左右,资源浪费很大。目前阴极电泳漆的树脂挥发物含量已降至25%以下,刚配置的槽液有机溶剂的含量在5%以下,正常施工时,有机溶剂含量可维持在1. 5%~3%。降低树脂合成过程与槽液正常施工期间有机溶剂含量是降低汽车车身涂装VOC排放必须考虑的措施。
3) 采用新型解封剂及解封催化剂,减少加热减量,提高产品的使用率。

2 E11291和TE11293阴极电泳漆的设计模式
2. 1 主体树脂设计模式
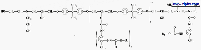
在设计新型阴极电泳漆树脂体系时,未采用重金属元素催化脱封技术,使用的是一种特殊的低温脱封剂和特殊催化剂催化解封固化技术,在无铅无锡催化的条件下,涂层能充分固化,保证了涂层的物理、化学性能。树脂合成过程采用高性能环保型溶剂EEP溶解环氧树脂。首先使环氧树脂端接枝TD I半封固化剂,然后用单仲胺类物质与E型环氧树脂反应,再与聚酰胺反应,最后接枝特殊半封固化剂调整树脂的水溶性。分子结构如图1所示。

图1 E11 – 91及TE11 – 93阴极电泳漆主体树脂基本结构
 这种设计方式有几个特点:一是固化密度高,耐腐蚀性好;二是树脂固化解封快,不需用重金属催化固化;三是加热减量少,比常规设计的阴极电泳漆树脂体系加热减量降低30%以上;四是极性分明,漆膜流平性好;五是树脂不挥发物含量高,接近80% ,减少配漆有机溶剂的含量。

2. 2 色浆设计模式
采用阴极电泳漆色浆专用季胺盐树脂,加水稀释后加入钛白粉和碳黑,经砂磨机将细度磨至合格为止。

3 试 验
3. 1 配槽和熟化
将阴极电泳漆配置成不挥发物含量为20%左右的槽液,在30~35℃的条件下熟化36h,然后制板检验。
3. 2 产品性能检测结果
E11291单组分中厚膜阴极电泳漆和TE11293双组分阴极电泳漆的产品性能检测结果见表2。

性能检测方法大多采用国家标准或行业标准。其中第9项采用福特盒法,槽液温度为28 ~30℃,施工电压为250V。第32、33项是弹体涂装的特殊要求,采用的是国军标相关规定。试验表明: TE11293双组分阴极电泳漆的综合性能高于E11291单组分阴极电泳漆的技术水平,两种产品1000h的中性盐雾试验, TE11293产品涂层划线腐蚀宽度为0. 5mm,耐盐雾性能突出;产品的常规性能优异。

3. 3 槽液其他性能考察
1) 加速老化条件下电泳漆槽液稳定性 按JB /T 1024222001之附录A7规定进行试验,试验结果基本无变化。
2) 槽液耐细菌繁殖性 按JB /T 1024222001 之附录A11规定进行试验,试验结果表明槽液自身具有一定的抗菌效果。
3) 重金属含量 采用凝胶色谱法测定Pb、Sn、Hg、Cr、Cd五种金属含量,结果见表3。表3说明两种产品内基本上都不含Pb、Sn、Hg、Cr、Cd五种金属元素。

4 结 论
E11291单组分中厚膜阴极电泳漆和TE11293双组分阴极电泳漆经用户长期使用,不孳生细菌和发生霉变,产品涂层性能稳定,满足客户使用要求。槽液参数范围宽,符合绿色材料中GB1858122001的规定要求,属环保型阴极电泳漆。通过E11291及TE11293阴极电泳漆的设计,主体树脂设计合成难度较大,需要综合考察原漆性能、槽液性能及涂层性能。槽液电性能不同于其他种类油漆,是最具有特色的部分,最具有挑战性。只有通过长期试验,在积累大量试验数据的基础上,进行树脂基团接枝改造、才能制备出满足客户使用要求的产品。目前国内针对阴极电泳漆电泳成膜原理认识较浅,槽液稳定性微观认识不足,缺乏电泳过程分析的专用检测设备,树脂构造与槽液稳定性、涂层性能关联度认识不清,对新型树脂的设计缺乏系统的理论指导。这些需要国内广大从事阴极电泳漆设计的科研人员努力探索,建立国内阴极电泳漆体系,替代同类型进口产品,广泛应用于金属表面的防腐涂装领域。

为您推荐

返回顶部