1 前言
本公司生产的重型汽车车架采用单件铆接、整体阴极电泳的方式涂装,其工艺流程简单概括为:预脱脂─脱脂─自来水洗─表调─磷化─自来水洗─纯水洗─电泳─超滤水洗─纯水洗─烘干。电泳槽初次投漆时,使用的产品为双虎涂料FT25-7350 型厚膜环氧电泳漆,所得漆膜外观平整,光泽高,槽液泳透力及耐盐雾性能好。但到了夏季,随着气温的升高和光照的增强,车架总成漆膜出现了不同程度的粉化、变色、失光等老化现象,严重影响漆膜的外观和耐腐蚀性能。因此,解决电泳漆膜的耐老化性问题成为关键。
2 环氧–丙烯酸电泳漆的合成与性能
电泳漆由树脂、色浆、交联剂、助剂以及去离子水混合调制而成。树脂是重要的成膜物质,对电泳漆的性能起到决定性作用。原用的环氧电泳漆,其树脂是改性环氧树脂,由植物油酸与环氧树脂发生酯化反应而获得,所含的环氧基使漆膜具有优良的耐腐蚀性。但改性环氧树脂中还含有的大量酯基和醚链,在阳光照射下易发生断裂。因此,漆膜耐候性差,在户外易失光、粉化。丙烯酸树脂是由丙烯酸酯类和甲基丙烯酸酯类单体共聚而得,一般分子量较低,在高温烘烤时不变色,不返黄,对光的主吸收峰处于太阳光谱之外,所以丙烯酸树脂漆具有优异的耐光照性和户外耐老化性。若选用环氧、丙烯酸2 种树脂作为电泳漆的成膜物质,通过冷拼的工艺方式合成环氧–丙烯酸电泳漆,由于2 种树脂的表面张力不同,因此烘烤时两者的沉积速率不同,环氧树脂沉到底层,与底材紧密结合,起到耐腐蚀的作用,丙烯酸树脂则浮于漆膜上层,与外界环境接触,起到耐光照老化的功能。如此一来就可解决漆膜的耐老化问题。
2. 1 环氧–丙烯酸电泳漆的合成
经与双虎涂料合作,采用多种方案进行电泳漆改性,最终开发了环氧–丙烯酸电泳漆FT25-7650。
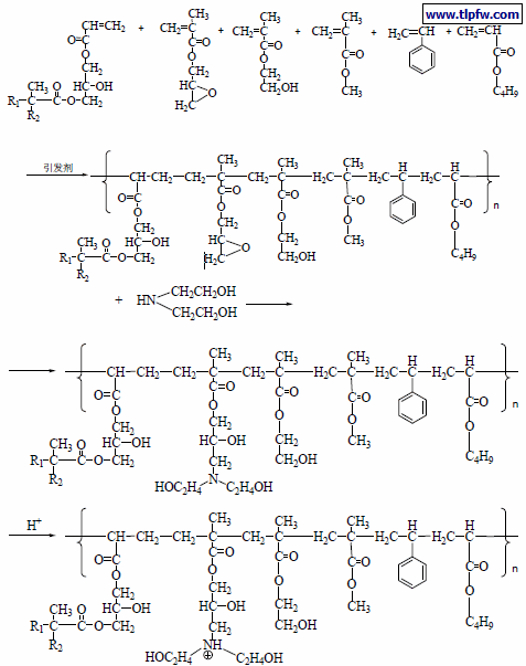
2. 1. 1 改性环氧树脂的合成
液态环氧树脂与双酚A 扩链生成一定环氧当量的树脂,然后用胺作催化剂开环,再加入交联树脂,最后酸化得到改性环氧树脂。反应历程如下:
2. 1. 2 改性丙烯酸树脂的合成
叔碳酸缩水甘油酯、丙烯酸、甲基丙烯酸甲酯、甲基丙烯酸丁酯、甲基丙烯酸缩水甘油酯、甲基丙烯酸羟乙酯等在一定温度下进行自由基溶液聚合反应,然后用胺作催化剂开环,加入交联树脂后,用冰醋酸酸化,得到改性丙烯酸树脂。其合成线路如下:
2. 1. 3 环氧–丙烯酸电泳漆乳液合成
将改性丙烯酸树脂与改性环氧树脂按照一定的比例混合后,乳化得到环氧–丙烯酸电泳漆乳液──FT25-7650。与原来的环氧电泳漆FT25-7350 相比,两者的B 组分(色浆)相同,A 组分(乳液)成分不同。前者的A 组分为改性环氧树脂与改性丙烯酸树脂的混合,后者的A 组分只含有环氧树脂。
2. 2 环氧–丙烯酸电泳漆的性能
在实验室对环氧–丙烯酸电泳漆FT25-7650 进行性能测试。取3 872 g A 组分、648 g B 组分、3 480 g 去离子水(电导率≤10 μS/cm),配成8 kg 槽液。搅拌器速率设定为600 r/min,以保持槽液搅拌良好,无沉淀。槽液温度保持在29 °C,熟化24 h 后进行试验。使用经磷化处理的碳钢板,工作电压180 V,电泳时间3 min。电泳样板水洗,180 °C(样板温度)烘干30 min,放置48 h 后做性能试验,并与原环氧型FT25-7350 电泳漆对比,结果如表1 所示。
表1 环氧–丙烯酸电泳漆与环氧型电泳漆的性能对比
表1 表明,新合成的FT25-7650 电泳漆的性能明显优于原来的FT25-7350 环氧型电泳漆。前者的机械性能、耐盐雾性能等均达到了车架电泳漆企业标准的要求,尤其是人工加速(氙灯)老化试验项目,进行400 h 后,漆膜无龟裂、失光、粉化、起泡、脱落、生锈等现象,色差ΔE 明显高于标准的要求(ΔE≤3),该电泳漆的施工性能也很好,槽液参数易于控制,槽液不容易产生沉淀,适用于重型汽车车架的涂装。
3 由环氧型向环氧–丙烯酸型电泳漆的转换
鉴于环氧–丙烯酸电泳漆FT25-7650 的组分比FT25-7350 多了改性丙烯酸树脂,故只要将现场使用的FT25-7350 环氧型槽液调整到合适的固体分,然后按比例加入丙烯酸树脂乳液FT-01-0350(双虎涂料公司产品),槽液即可完成由环氧电泳漆到环氧–丙烯酸电泳漆的转换。
3. 1 降低FT25-7350 槽液固体分
为保证混槽后车架试生产,首先要降低FT25-7350槽液固体分,使槽液中环氧树脂的量减少,然后混槽时按比例添加一定量的丙烯酸乳液,使混槽后槽液固体分保持在合适的工艺范围内(17% ~ 22%)。在正常生产情况下,不补加原漆连续生产50 d,可生产车架6 144 个,槽液固体分由19.56%降至10.62%。在此过程中,当槽液的固体分低于18%时,漆膜外观略为粗糙,厚度降低2 ~ 3 μm。为提高漆膜厚度和保证槽液的稳定性,需要定期补加专用溶剂和助剂,使槽液的溶剂含量由1.6%提高到2.4%。
3. 2 添加FT-01-0350 丙烯酸乳液
电泳槽体及管路共容纳120 t 电泳漆,经过精确计算,共需加51 t 丙烯酸乳液,使丙烯酸树脂含量占树脂总量的60%。为保持槽液液位在正常的刻度范围内,补加乳液时,需要同时排放超滤液。用气动隔膜泵补加乳液(耗时22 h)。
3. 3 车架试生产
补加丙烯酸乳液后,槽液熟化24 h。此时,槽液主要工艺参数为:固体分20.69%,颜基比0.13,pH 5.9,电导率1 300 μS/cm。在施工电压240 V、槽液温度28.2 °C 的条件下,电泳涂装11 个车架,经过3 道纯水洗以及烘干、强冷后下线。对车架涂层进行检查,漆膜外观平整,无颗粒、缩孔等弊病,干燥状态良好,硬度为2 H,达到车架表面涂层标准的要求。
3. 4 施工参数调整
通过生产消耗原漆,使槽液固体分降低,补加B 组分(色浆)使槽液固体分、颜基比升高。进行一个月的生产调试,确定了槽液参数的工艺范围:槽液固体分17% ~ 19%,pH 5.6 ~ 6.0,电导率700 ~ 1 400 μS/cm,温度28 ~ 30 °C,电压260 ~ 340 V。
3. 5 生产应用效果
从2006 年3 月混槽结束后,车架涂装开始正常生产。至2007 年12 月20 日,已生产车架14 万个,共使用FT25-7650 电泳漆631 t。2006 年4 月7 日生产的车架露天存放到2006 年10 月8 日,存放期6 个月,漆膜外观良好,没有出现失光、变色等粉化现象,在整车使用的过程中,没有用户反馈车架漆出现粉化问题。但该方法的缺点是:一次性加乳液太多,使槽液的溶剂含量高于正常范围,需排放超滤液并补加纯水来降低到正常值。
3. 6 经济成本分析
从材料使用成本价格进行分析,环氧树脂、丙烯酸树脂合成乳液后价格均为30 元/kg 左右,往FT25-7350加入丙烯酸树脂后成本没有增加,原漆的价格不变。
4 结语
通过往环氧型电泳漆中加入丙烯酸树脂,完成了环氧电泳漆向环氧–丙烯酸电泳漆的成功转换。这是国内电泳漆涂装工艺的一次重大改进。环氧–丙烯酸电泳漆在重型汽车车架涂装上的应用,在国内同行业中处于领先地位,达到了国际涂料的先进水平,引领了国内重型汽车涂装材料的方向。用混槽的方式换漆比整槽更换更节约材料成本,且无需废漆处理费用,有利于保护环境。以120 t 槽体的50%计算,若原材料成本为每吨槽液1.5 万元,每吨废漆的处理费为2 000 元,则可节约材料成本90 万元,节约废漆处理费12 万元,共计102 万元。