紫外光固化涂料的研究进展

紫外光固化涂料的研究进展 徐国强, 胡 娜, 倪忠斌, 刘 仁, 陈明清* (江南大学化学与材料工程学院,江苏无锡214122)  紫外光(UV)固化涂料是德国拜耳公司于1968年…

紫外光固化涂料的研究进展

徐国强, 胡 娜, 倪忠斌, 刘 仁, 陈明清*
(江南大学化学与材料工程学院,江苏无锡214122)

 紫外光(UV)固化涂料是德国拜耳公司于1968年最先开发成功并商品化的一种环保型节能涂料,相对于传统的溶剂型涂料,它具有固化速度快、无有机挥发组分(VOC)的排放、固化温度低、环保节能、涂层性能优异等优点因而成为人们关注和研究的热点[1]。目前,UV 固化技术已广泛用于涂料、油墨[2]、胶黏剂[3]和电子产品[4]等诸多领域。目前使用的UV固化涂料在许多方面仍然需要改进,其要求基材平整,如果表面结构复杂,则易产生光照死角;同时,涂料在固化过程中会发生收缩,进而产生褶皱、内应力,降低附着力,有鉴于此,CHANG等[5]研发了室温下的环氧丙烯酸/聚氨酯双层UV 固化涂料,与传统的UV 固化聚氨酯涂料相比较,该双层UV固化涂料有更好的机械性能,附着力更强,更加适用于表面复杂的热敏基质。此外,针对UV固化涂料所用的活性稀释剂具有一定的挥发性和毒性,而不含活性稀释剂的传统水性涂料在附着力、抗挠性能等方面又存在若干缺陷的实际情况,越来越多的研究人员注重于水性UV 固化涂料的研发,HWANG[6]与QIU[7]等课题组研究了以聚氨酯-丙烯酸酯(PUA)体系为基础的水性UV 固化涂料。UV固化涂料的发展日新月异,本文将主要对UV固化涂料的组分、国内外UV固化涂料最新的研究成果和涂料性能新的表征方法进行介绍,并讨论UV固化涂料的发展前景。

1 UV固化涂料的组成
UV固化涂料主要由低聚物、活性稀释剂、光引发剂和助剂四部分组成。虽然水性UV 固化涂料不含活性稀释剂,但就现阶段而言,活性稀释剂依然是许多UV固化涂料不可或缺的一部分。
1.1 低聚物
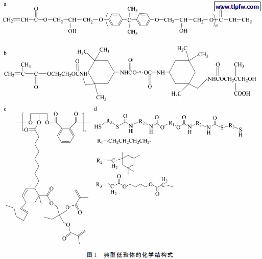
低聚物是光固化涂料中最主要的组成部分,低聚物在光引发剂的引发下固化成膜。合成低聚物常用的单体有含异氰酸根的化合物、带有环氧基团的化合物、可生成聚酯的多元醇和有机酸类等,丙烯酸类单体常用于对低聚物进行封端或修饰。CHITTAVANICH等[8]利用不饱和的桐酸、邻苯二甲酸酐、甘油和三羟甲基丙烷三甲基丙烯酸酯(TMPTMA)合成了带有支链的低聚物。ZHANG等[9]则利用丁二醇、巯基乙酸、异佛尔酮二异氰酸酯(IPDI)合成了低聚的硫醚氨基甲酸酯。典型的低聚体的化学结构式如图1所示[5,7-9]。

典型低聚体的化学结构式
1.2 活性稀释剂
活性稀释剂也叫活性单体或反应性溶剂,可参与共聚或交联反应。主要有丙烯酸酯类、缩水甘油类和多羟基聚酯或聚醚类。UV固化涂料常用丙烯酸酯类单体作为调节体系粘度的活性稀释剂[10]。CHITTAVANICH等[8]研究了不同的丙烯酸酯类活性稀释剂对所得涂层性能的影响。研究表明:固化速度可以通过选择不同官能度的活性稀释剂来控制;由单官能度的活性稀释剂所得涂层比多官能度活性稀释剂更加平整,不易起褶皱,这是因为多官能度活性稀释剂使得固化速度过快,表里层呈现较大的固化速度梯度;使用链段较长的丙烯酸月桂酯(LA)或甲基丙烯酸异癸酯(IDMA)所得涂层的柔性及抗冲击强度优于拥有较大、刚性侧基的双环戊二烯甲基丙烯酸酯(DCPDMA)和异冰片丙烯酸酯(IBOA),而使用IBOA 和DCPDMA 所得涂层的Tg则较前两者的Tg大。总之,对于活性稀释剂的选用,应遵循一些重要的参数如官能度、黏度,或者根据制备的涂料所需要的特性如附着性、柔性、硬度、耐磨性、抗冲击性和表面光滑程度等而定。常见活性稀释剂的化学结构如图2所示[7-10],虽然其具有挥发性和一定的毒性,但就目前UV 固化技术的发展来看,仍起到重要的作用。

活性稀释剂的化学结构
1.3 光引发剂
光引发剂是决定UV 固化涂料固化程度和固化速率的主要因素,增加引发剂浓度,产生自由基的数目增多,固化速度加快,但如果浓度过高,会出现过量的自由基。过量的自由基间容易互相偶合,使链增长终止,最终使固化速度下降[7]。图3是常用光引发剂的化学结构[5-10]。在UV 固化体系中,阳离子引发体系由于较自由基引发更具有优势,因而受到人们越来越多的关注,光致产酸剂(PAG)是阳离子体系中的重要组分,被广泛用于环氧化物、乙烯基醚和其他可用于阳离子聚合的单体聚合中。SHIRAI等[11]合成了磺酸亚胺和N-酰亚胺磺酸盐PAG(图4),并将其应用到聚甲基丙烯酸缩水甘油酯(PGMA)的光交联中。最近,CHENG等[12]基于小分子光引发剂4-羟基二苯甲酮(BP)合成了聚2-(4-苯甲酮甲基醚)-1,3-二羟丙基马来酸(PBM)、聚2-(4-苯甲酮甲基醚)-1,3-二羟丙基琥珀酸(PBS)等大分子光引发剂,其对光吸收的效率、吸收波段的宽度和引发速率都要强于小分子光引发剂,此外,大分子光引发剂还有利于解决小分子光引发剂易迁移至表面而引起速度梯度的问题。
光引发剂的化学结构

光致产酸剂的结构和光解机理
1.4 助剂
为了改善涂料的性能,在制备涂料的过程中常需要加入一些助剂,如阻燃剂、偶联剂、表面活性剂和流平剂等。
1.4.1 阻燃剂
传统的阻燃剂含卤素,当材料燃烧时会产生具有腐蚀性的烟雾,带来严重的安全与环境问题。最近的研究成果表明,无卤素的阻燃体系如以含磷化合物为基础的混合体系正逐渐取代卤素添加剂。
HUANG等[13]用磷酸三丙烯酸乙酯(TAEP)和哌嗪合成了超支化聚磷酸丙烯酸酯(HPPAs)阻燃剂;CHEN等[14]合成了含氮与磷的哌嗪-N,N-双(丙烯酰氧乙基-氨基磷酸酯)(N-PBAAP)阻聚剂,并将其与环氧丙烯酸低聚物混合制成UV 固化涂料,通过热重分析(TGA)测得混合体系在高温下的质量残留远高于不含阻聚剂的环氧丙烯酸UV固化涂料。
1.4.2 偶联剂
偶联剂可通过化学反应把两种不同性质的物质结合起来,起到桥梁作用。最近,SANGERMANO等[15]利用乙氧基硅烷改性的超支化脂肪族-芳香族聚酯(HBPS)作为多官能度的偶联剂,用于制备有机-无机的紫外-热双重固化环氧/四乙氧基硅烷(TEOS)涂料,提高了储存模量和粘弹性,该透明混合涂料的热-机械性能和表面硬度也得到增强。
1.4.3 其它改性剂
LANDRY等[16]发现UV固化涂料的性能与粘土的质量及分散性有关。团聚的粘土会降低丙烯酸官能团的转化率;但少量且均匀分散的粘土有利于丙烯酸官能团的反应。最近,M?LAZIM 等[17]报道了含氟有机物全氟辛基三乙氧基硅烷(PFOTES)、硅烷衍生物三乙氧基(异丁基)硅烷(TEIBS)和甲氧基-三甲基硅烷(MTMS)等对改性蓖麻油酸酯涂料的影响,发现随着这些改性剂的加入,所得涂料的阻燃性和防水性都得到了提高。

2 UV固化涂料性能的表征方法
涂料的性能可定义为在环境发生人为的或不可预测的自然变化时所具有的抵抗能力。研究人员利用多种表征方法以评价涂料性能。JOHNSON等[18]曾对传统的表征方法做过较为系统的归纳,因此这里对于传统方法不再赘述。在利用传统的方法测试涂料性能的同时,研究人员采用一些新的方法测试涂料性能。LANDRY等[16]利用小角X射线散射研究碾磨情况不同的粘土片晶之间的距离以判断粘土在组分中的分散效果。BARLETTA 等[19]利用线性往复滚球轴承标准摩擦仪测量摩擦因子以评判涂层的耐磨性(图5),利用显微成像技术观察摩擦仪在涂层上留下的磨损痕迹,计算出磨损体积,利用阿尔查德公式可算出摩擦因子。
往返摩擦仪的测量方式
3 前景
涂料工业在未来的发展将会向更高效、更节能、更环保、更优质的方向迈进。从合成低聚物所用的单体上看,环境友好型的单体如桐酸[8,20]、蓖麻油[17]和豆油[10,21]等将会被更多地应用于涂料开发中。由于水性UV固化涂料无需使用活性稀释剂,因此研究人员必将对水性UV 固化涂料进行更广泛、更深入的研究。从引发体系上看,更高效、且更稳定的大分子光引发剂和高效、无毒的阳离子型光引发体系将继续成为研究热点。由于内应力的存在会减弱UV固化涂料的附着力[5],而关于固化过程中产生的内应力的问题至今还没有能够得到很好的解决,因此对应力释放的研究必然具有更加深远的研究价值,SCOTT等[22]研究的光致应力释放可塑性材料给予我们在这方面的启发。利用狄尔斯阿德尔反应来实现对涂料的改性将受到更多的关注[8,20]。CHEN等[23]用脂环族环氧树脂和三氯生通过氢化硅烷化反应合成了两种功能化的聚硅氧烷,再通过阳离子型引发体系得到具有抗菌活性(葡萄球菌、埃希氏大肠杆菌)而不会释放毒性成分的UV固化涂料,将涂料应用于生命科学将为UV 固化涂料的发展开辟一条新的道路。

为您推荐

返回顶部