聚酰胺酰亚胺耐高温绝缘漆的研究

聚酰胺酰亚胺耐高温绝缘漆的研究 杜玉杰1 , 张慧敏1 , 许东卫2 (1. 河南省化工研究所, 河南郑州 450052 ; 2. 郑州市环境卫生科学研究所, 河南郑州 45000…

聚酰胺酰亚胺耐高温绝缘漆的研究

杜玉杰1 , 张慧敏1 , 许东卫2
(1. 河南省化工研究所, 河南郑州 450052 ; 2. 郑州市环境卫生科学研究所, 河南郑州 450008)

 现代工业的发展,电气、电子装备呈现安全、高效节能和小轻型化的趋势,高性能绝缘材料在电气电子领域内的应用使元器件体积、原材料减少了近30 % ,然而小轻型化必然导致其工作温度升高,核动力和航空、航天技术的迅速发展也对绝缘材料提出了更高的要求,因此在保证绝缘性能的前提下如何提高其使用温度成为研究的热点。在众多绝缘材料中聚酰胺酰亚胺以其优越的绝缘性、耐温性、机械性和耐化学性而备受青睐。
聚酰胺酰亚胺作为高性能绝缘漆在欧美、日本应用已比较广泛,国内虽有生产能力但尚未大规模生产。而且,国内产品存在储存稳定性、粘合性及加工性能差等问题,针对这种情况,我们经过大量试验研究发现,通过采用添加助剂、控制反应进程等方法能够解决以上问题。

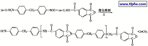
1  反应机理
以偏苯三酸酐(TMA) 和二异氰酸酯(MDI) 为原料,在N – 甲基吡咯烷酮(NMP) 和二甲苯混合液中进行缩合反应,适时添加各种助剂,生成聚酰胺酰亚胺。反应机理如下:

2  实验部分
2. 1  原料
  MDI、TMA、NMP、二甲苯,均为工业级;助剂AD2DI – 1、ADDI – 2 ,自行筛选。

2. 2  实验步骤
在反应器中加入NMP、二甲苯、TMA ,混合升温至70~80 ℃,待溶解后加入MDI 和ADDI – 1 ,升温到90 ℃左右,反应2h ,将剩余的MDI 分两次加入;再升到适当温度使反应继续,测定粘度指标准确判断反应终点;停止加热并加入ADDI – 2 ,在一定温度下维持一段时间,稀释至要求的固含量即为聚酰胺酰亚胺包线漆。

2. 3  性能指标
成品经郑州电磁线厂检测,漆的理化指标如下:
外观与机械杂质,均符合要求;固含量,28 %;粘度,750mPa·s。样品为200 度级聚酯亚胺/ 聚酰胺酰亚胺复合漆包铜扁线,型号Q ( ZY/ XY) B – 2/ 200 ,规格:2. 12mm ×5. 0mm。采用GB/ T7095. 6 – 1995 ,检测结果见表1。

3 结果与讨论
3. 1  温度控制
反应前期温度不宜过高,否则会出现副反应,影响漆的质量,由于第一次投入的偏苯三酸酐量较大,且该反应为放热反应,故此阶段无需加热。反应后期由于投入的MDI 量较小和增大分子量的需要,应升高反应温度。

3. 2  投料方式
  实验表明,滴加MDI 生成的反应物稳定性差,一次投入全部的MDI 反应过程难于控制,且漆膜质量较差,采用分批加料即可解决。

3. 3  助剂的选择和投加方式
反应助剂种类的选择和投加的量、时间对聚合反应有一定影响,同时对漆的性能影响较大,而助剂的选择尤为重要。

3. 4  Nicolet FT – IR 验证是否有酰胺酰亚胺生成反应产物经Nicolet FT – IR 验证,图谱见图1。

 由图1 可以看出,在1778cm- 1处峰非常明显,因酰亚胺的特征峰在1735~1790cm- 1之间,所以证明有酰胺酰亚胺生成。

4  结论
筛选恰当的助剂种类、使用数量和投加时间,合理控制反应过程的温度、时间和投料方式,即能得到稳定性、粘合性和加工性能俱佳的耐高温聚酰胺酰亚胺绝缘漆。整个反应中助剂的筛选和反应过程的控制是该实验的重要环节。

为您推荐

返回顶部