阴极电泳涂料的基体树脂

1  前 言 阴极电泳涂料的发展已有近30 年的历史,由于它具有比阳极电泳涂料更优异的防腐能力,更高的泳透力,操作方便且不污染环境等特点,在国内外的汽车生产中广泛用作底漆涂装[1 …

1  前 言
阴极电泳涂料的发展已有近30 年的历史,由于它具有比阳极电泳涂料更优异的防腐能力,更高的泳透力,操作方便且不污染环境等特点,在国内外的汽车生产中广泛用作底漆涂装[1 ] 。当今装饰性阴极电泳涂料也越来越受到人们的重视,利用一些基体树脂耐候、透明、不变黄的特点,直接电泳涂装或加一些染料、颜料制得有色阴极电泳涂料,从而获得高光泽、色彩绚丽的装饰制品[2 ] 。阴极电泳涂料主要有两大体系:美国PPG 公司的双组分水乳型体系和德国Hoechst s 公司的单组分水溶型体系。基体树脂的类型主要有丙烯酸树脂和环氧树脂,树脂中的正电基团主要是季铵盐基。

2  基体树脂的类型
211  丙烯酸树脂
21111  直接酸化可阳离子化的树脂[3~8 ]在这类树脂的制备过程中,其单体组分中不仅含有苯乙烯、甲基丙烯酸甲酯等硬单体和丙烯酸酯等软单体,重要的是有一种带叔胺基的丙烯酸类单体,结构通式为:

其中L = H 或CH3 ,R1~R3 为C1~4的亚烷基或烷基。
这些单体在引发剂引发下聚合得到共聚物,经过酸化可形成季铵盐基正离子:

21112  胺改性的丙烯酸树脂[9~13 ]
这类树脂在聚合时除采用苯乙烯、甲基丙烯酸甲酯等单体外,特别采用带环氧基的丙烯酸单体,常用(甲基) 丙烯酸缩水甘油酯。含有缩水甘油酯的共聚物,可以与仲胺反应,使之开环得到叔胺,再酸化可得到阳离子化的丙烯酸树脂。
212  环氧树脂
环氧树脂作为阴极电泳涂料的基体树脂,往往需要胺中和或先扩链,再胺中和,使之得到改性及阳离子化。
21211  直接胺中和的环氧树脂[14~15 ]
环氧当量> 450 的环氧树脂,可直接用仲胺或酮亚胺改性,再中和成阴极电泳涂料基体树脂:


21212  需要扩链的环氧树脂
对于环氧当量较小的环氧树脂(如Epon 828) ,往往需要先扩链,以得到较大环氧当量的改性环氧树脂,再经胺化和酸中和,就得到阴极电泳涂料的基体树脂。环氧树脂的扩链方式如下所述。
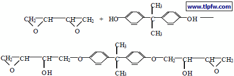
(1) 双酚A 扩链[16~19 ] :扩链时所用的双酚A 的羟基物质的量根据所设计的最终树脂的环氧当量而定,这样得到的树脂分子的刚性较大,所得漆膜的硬度较大。改性过程可表示如下:

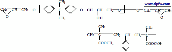
 (2) 聚醚(或聚酯) 二醇扩链[20~23 ] :改性的化学过程与用双酚A 改性有许多相似,只不过得到的环氧树脂大分子的柔韧性较好,这是由于大分子中有许多醚键和酯键的缘故。由此得到的涂膜的柔韧性和附着性较好,不易脆裂和剥落。化学过程可表示为:

( 3 ) 多胺扩链改性[24~26 ] : Eberhard Schupp 、Michael Geist 和Willian J . Relanger 等人研究了多胺对环氧树脂的改性,所得的环氧树脂大分子中有许多仲胺基及相当数量的侧羟基,化学过程为:

由于分子链中存在大量羟基氢和仲胺基氢,更有利于交联过程的进行。Schimmel 等人[27 ]合成了在大分子中部含有正离子的聚合物树脂,树脂的形成可表示为:

213  其他
21311  聚氨酯树脂
Mat sunaga 等人[28 ]用经二元醇扩链的聚氨酯预聚体与含醇羟基的叔胺作用,制得适用于阴极电泳的树脂,制备过程可表示为:

21312  丙烯酸树脂与环氧树脂的接枝共聚物
Wincent W. Ting 等人[29 ] 将丙烯酸类单体和引发剂在一定温度等条件下,加入到环氧树脂的溶液中进行聚合,此时丙烯酸单体一方面发生均聚,同时也有一部分单体与环氧树脂发生接枝共聚合,利用环氧树脂主链上与氧相连的碳上的氢,在引发剂作用下可除去,形成自由基的特点,使丙烯酸类单体部分接枝上去,所得共聚体的结构可表示为:

21313  改性的聚丁二烯树脂[30 ]
丁二烯在聚合时可发生1 ,2 – 加成和1 ,4 – 加成,1 ,2 – 加成的结果在聚合物侧链上留下双键。若聚丁二烯大分子的侧链双键用过氧化物进行氧化,就得到环氧化物,用胺改性环氧化聚丁二烯,再酸化,就
得到可阴极电泳的基体树脂,其化学过程如下:

3  结 语
阴极电泳涂料的基体树脂以改性环氧树脂和改性丙烯酸树脂为主。用环氧树脂为基体的涂膜耐腐蚀性能优异,丙烯酸树脂为基体的涂膜透明且不易变黄。在所有的树脂中,以含环氧结构的树脂用得较普遍,它可以用胺开环,再酸化就得到可阴极电泳的阳离子树脂。

为您推荐

返回顶部