非异氰酸酯聚氨酯的制备与应用

非异氰酸酯聚氨酯的制备与应用 樊庆春,胡芽,李文,吴科,张忍(武汉工程大学绿色化工过程省部共建教育部重点实验室,湖北省新型反应器与绿色化学工艺重点实验室,武汉,430074) 19…

非异氰酸酯聚氨酯的制备与应用
樊庆春,胡芽,李文,吴科,张忍(武汉工程大学绿色化工过程省部共建教育部重点实验室,湖北省新型反应器与绿色化学工艺重点实验室,武汉,430074)

1937 年Bayer 利用异氰酸酯和多元醇的氢转移加成聚合制备出聚氨酯,由于其优良的力学性能、热性能、加工性、生物相容性、生物降解性和结构调控灵活,在医药、医疗、交通、航空航天、国防等诸多领域以不同形态得到广泛应用。但是,异氰酸酯具有较强毒性,在生产和使用过程会给操作人员和环境造成危害,此外,目前异氰酸酯生产仍然采用“胺-光气”路线,生产和使用过程中危险性极大,同时产生大量废弃物,严重污染环境。不仅如此,异氰酸酯对环境十分敏感,在加工聚氨酯的过程中环境中的湿气往往会对产品性能造成不利影响。鉴于以上问题,非异氰酸酯聚氨酯(Nonisocyanate Polyurethane, 简称NIPU)受到广泛关注并呈现诱人的应用前景。
 
1 制备方法
NIPU 是指不使用异氰酸酯为原料制备的聚氨酯,目前主要是采用环碳酸酯与多元胺制备,见式(1)。
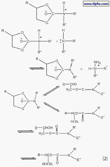
1.1 环碳酸酯的制备
NIPU 由环碳酸酯与多元胺反应而制得。Garipov等研究了环碳酸酯与胺反应的动力学,认为首先是胺基进攻环碳酸酯中的羰基,形成四面体中间体,然后胺基进攻四面体中间体,脱除一个H+,发生分子内重排生成聚氨酯。取代基R 的诱导效应以及取代基R' 和R'' 的体积决定环碳酸酯开环反应的位置与最终产物所占的比率。当取代基R 上含有供电子基团时会降低羰基碳的正电性,从而降低了环碳酸酯的反应活性,取代基R 上含有吸电子基团时,羰基碳的正电性增加,利于胺基发生亲核反应。

合成环化碳酸酯的方法有:1)由表氯醇与强碱金属碳酸盐反应合成(] 式⑶);2)由邻二醇转换制备[12](式⑷);3)由环氧化合物与二氧化碳反应合成(式⑸),后者是较有工业应用意义的合成方法。

1.2 多元胺
另外一种制备非异氰酸酯聚氨酯的重要原料是多元胺,由于受到取代基的影响,脂肪族伯胺与环碳酸酯的反应速度较快,基本与脂肪族伯胺和环氧基团的反应速度相当,相比之下仲胺的反应速度则要慢得多,芳香胺由于苯环的吸电子作用需要在100 ℃ 以上方能够和环碳酸酯反应。目前常用的多元胺为:异佛尔酮二胺、二环己基二氨基甲烷、端氨基聚醚等。
 
2 非异氰酸酯聚氨酯的性能
NIPU 不仅具有传统聚氨酯的优良性能,而且其结构单元氨基甲酸酯的β 位碳原子键合的羟基与氨基甲酸酯的羰基形成分子内氢键(如式⑹所示),使得力学性能、抗水解等得以提高,此外在生产和加工过程中不使用高毒且对湿气敏感的异氰酸酯,从而避免了环境危害和结构缺陷。
NIPU 与环氧树脂、传统聚氨酯的性能比较见表1。
NIPU 与环氧树脂、传统聚氨酯的性能比较[19]
3 非异氰酸酯聚氨酯的应用
非异氰酸酯聚氨酯在制备过程中避免了有毒有害的多异氰酸酯和光气,其分子内氢键弥补了传统聚氨酯结构中的弱碱,改善了耐化学性、耐水解性和抗渗透性,而且施工性能良好,可作为泡沫塑料、弹性体、纤维、胶黏剂、涂料在建筑、交通、纺织、机械、国防等领域得到广泛应用,而且拓宽了传统聚氨酯的应用领域。
3.1 胶黏剂
聚氨酯黏合剂已在食品、包装、家具等行业得到广泛的应用。Figovsky O L 等制备了一种基于含有环碳酸酯基的齐聚物与一种含伯胺基的齐聚物的新型非异氰酸酯聚氨酯黏合剂,该黏合剂固化时形成交联网络结构,同时产生一种稳定的分子内氢键七元环,从而改善了氨基甲酸酯基的耐水解性能。他们制备的HNIPU涂层的耐化学性与抗渗透性分别是结构相似无分子内氢键的聚氨酯的1.5 倍与2.5 倍。Figovsky O L制备的环碳酸酯/环氧树脂结构胶黏剂,可使胶黏剂的抗剪切强度提高2~3 倍,黏结强度提高1.5~1.7 倍。
德国GmbH 公司制备的新型非异氰酸酯聚氨酯黏合剂具有环境友好型,体现了聚氨酯优越的机械性能与环氧树脂优异的黏合性,可以用于地板与工业涂料行业,且该产品对人体健康无害,在施工和固化过程中对环境湿气不敏感,没有气泡产生,综合性能良好。
3.2 非异氰酸酯聚氨酯涂料
基于环碳酸酯与胺反应的热固性涂料具有良好的应用前景。Webster 等研究了胺类交联剂、物质的量比以及溶剂和共聚物组成对涂膜性能的影响,制备的非异氰酸酯聚氨酯涂料呈现良好的耐溶剂性、外观和机械性能。为了增加非异氰酸酯聚氨酯的热稳定性,Figovsky 等制备了以氨基甲酸酯醇类作为“嵌段”的聚氨酯,它在催化剂存在下于180 ℃发生固化反应,从而使涂料有良好的机械性能、介电性能与耐化学性。聚氨酯涂料具有涂膜丰满光亮、耐化学品性能好、耐磨性能优良等优点,丙烯酸改性聚氨酯涂料不仅体现传统聚氨酯涂料的高韧性、耐磨性和保光性,而且结构和性能易于调整,可应用于高性能涂料。以(甲基)丙烯酸缩水甘油酯或烯丙基缩水甘油醚制备环碳酸酯后,再与(甲基)丙烯酸酯单体进行共聚,可制备相应的丙烯酸环碳酸酯低聚物,利用环碳酸酯的高反应活性与脂肪族胺反应可制备非异氰酸酯聚氨酯,体现更佳的综合性能。该产品将作为新一代的聚氨酯产品在美国与欧洲应用。
3.3 杂化非异氰酸酯聚氨酯
由环碳酸酯、环氧树脂与多元胺反应制备的互穿交联网络非异氰酸酯聚氨酯称为杂化非异氰酸酯聚氨酯(Hybrid Nonisocyanate Polyurethane,简称HNIPU)。Leonid R 等[27]用环碳酸酯与含有不同活性胺基的二元胺(如异佛尔酮二胺)反应,该反应中环碳酸酯优先与脂肪族伯胺反应,制备端胺基NIPU 预聚体,这种预聚体再与环氧树脂反应形成HNIPU。用这种方法制备的化合物不仅具有环氧树脂的高强度,同样也具有聚氨酯的优异的韧性。Figovsky O L 等将HNIPU 引入环氧黏合剂或密封剂中,可使其黏结性能提高50%~200% ,同时增加其耐腐蚀性能,提高了机械性能。
Figovsky O L 等以含有环碳酸酯基团和环氧基团的齐聚物与含多元伯胺基的齐聚物制备杂化非异氰酸酯聚氨酯,有望作为结构材料使用。
Figovsky O L等通过调节环碳酸酯与氨基的配比制备出端环碳酸酯或端氨基或端环氧基星形预聚体,预聚体间发生反应可制备星形NIPU 或星形HNIPU,调节预聚体的官能度可得到不同性能的HNIPU 产品。
3.4 泡沫塑料
NIPU 具有比传统聚氨酯更优异的性能,应用更加广泛。美国Eurotech 公司在NIPU 的生产及研发方面处于领先地位,并于2002 年在以色列建立了工业化生产基地。Eurotech 公司在其独特非异氰酸酯聚氨酯泡沫的开发上取得了突破性进展,而且已经开始了满足各项工业标准的HNIPU 泡沫试验研究,制备的HNIPU 泡沫具有与常规聚氨酯泡沫相同的性能,由于其优良的性价比,其市场将是潜在的HNIPU 非泡沫市场的2 倍左右。非异氰酸酯聚氨酯还可用于其它领域,如交通、建筑、机械制造、电子和电工、医药和医疗、航空航天等。

4 展望

Groszos S J 等用单环碳酸酯与脂肪族二胺反应合成了含有β-羟基氨基甲酸酯的低分子化合物,为非异氰酸酯聚氨酯的合成奠定了基础,随着人们环保、安全、健康意识的逐渐增强,非异氰酸酯聚氨酯的开发与应用受到广泛重视,包括基础原材料———环碳酸酯低聚物、多元胺的合成研究、非异氰酸酯聚氨酯合成与改性研究、非异氰酸酯聚氨酯的应用研究等。非异氰酸酯聚氨酯在高性能涂料、胶黏剂、弹性体等领域有广泛的应用前景,发达国家正在逐步实现产业化。与此相比,我国在此领域内的研究尚不系统和深入,因此加强对非异氰酸酯聚氨酯构效关系的研究、拓展应用领域迫在眉睫。
尽管非异氰酸酯聚氨酯已经呈现良好的应用前景,但对其构效关系仍然知之甚少,目前的研究主要集中在应用性能,无论是研究深度还是广度远远不能满足非异氰酸酯聚氨酯的发展要求,非异氰酸酯聚氨酯的深层次结构- 性能关系研究尚处于初始阶段,需要进行大量深入的基础研究工作,为非异氰酸酯聚氨酯的生产、加工和应用提供理论基础。单纯定位于取代传统聚氨酯从某种意义上反而会阻碍其应用和发展,充分挖掘其优异性能,从而有的放矢地进行定向开发,拓展传统聚氨酯的应用领域而发挥非异氰酸酯的优良性能方能大力推动其发展。

为您推荐

返回顶部