UV固化塑料涂料中低迁移性光引发剂的研究进展

UV 固化塑料涂料中低迁移性光引发剂的研究进展 王克敏1,肖浦1,任繁荣2,聂俊1 (1.北京化工大学材料科学与工程学院,北京100029;2.武汉市新洲一中学(高中)化学组,武汉…

UV 固化塑料涂料中低迁移性光引发剂的研究进展

王克敏1,肖浦1,任繁荣2,聂俊1
(1.北京化工大学材料科学与工程学院,北京100029;2.武汉市新洲一中学(高中)化学组,武汉430400)

0 引言
塑料制品在家电、汽车、通信、建材、医疗器械等众多行业有广泛的应用。作为“对塑料二次加工”的涂料工业,其发展也已引起人们的广泛关注。塑料涂饰的目的在于提高其耐候性、耐化学品性及表面硬度,改善和提高塑料表面的光泽度和抗刮伤性能,提高装饰的艺术效果,使塑料表面色彩更加丰富,光泽更饱满,更具立体感等。
紫外光(UV)固化涂料、成膜速度快、漆膜质量好,节约能源,成膜过程中无VOC 挥发到大气中,对环境不造成污染,适用于热敏感材料等,具有传统涂料所无法比拟的优点,在塑料产品涂装方面市场前景广阔。UV 固化塑料涂料的品种繁多,性能各异,其主要成分一般包括:光引发剂、可交联聚合的预聚物、活性稀释剂、可能的惰性溶剂、助剂、可能的有机-无机填料。其中光引发剂是光固化体系的关键组成部分,它关系到配方体系在光照射时低聚物及稀释剂能否迅速由液态转变成固态,直接影响着光固化的速度。传统的紫外自由基光聚合引发剂和聚合物相容性较差,残留在产物中的光引发剂及光解碎片容易迁移和挥发,使产物老化黄变,出现气味和毒性,制约了其在UV固化塑料涂料中的应用。为了改善引发体系性能,使其活性体(自由基或离子)具有较高的产率,提高在树脂基体中的溶解度,降低气味和毒性。本文就近年来开发研究的一系列新型低迁移性光引发剂,作一较详细的介绍。

1 双官能度二苯甲酮衍生物的合成及光聚合性能研究
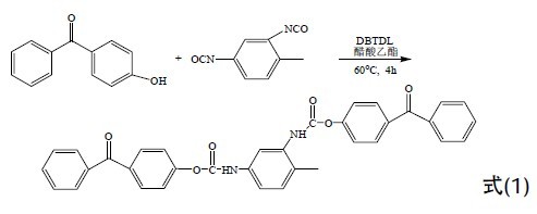
二苯甲酮,由于其价廉、表面固化性能良好、不易泛黄和好的溶解性等优点,为紫外光聚合体系中最广泛使用的光引发剂之一。但是二苯甲酮相对分子质量低,气味强烈,而且在光聚合过程结束后仍以小分子的形式残留在固化后的产品中,并且极易迁移到产品的表面,使其应用领域受到了限制,特别是在与食品接触的包装材料和生物材料方面[1]。因此,目前对于具有良好的反应活性和表面固化能力、低迁移、不易泛黄和溶解性能良好的二苯甲酮替代物有着广泛的需求。二苯甲酮衍生物引发聚合的速率在一定程度上与其紫外吸收有关[2]。4-羟基二苯甲酮在中紫外区域有较强的吸收峰,但是由于其较差的溶解性和聚合过程中较明显的黄变性,限制了其在紫外光聚合配方中的应用。

利用4-羟基二苯甲酮和甲苯-2,4-二异氰酸酯反应合成了一种双官能度二苯甲酮衍生物(HBP-TDI-HBP)。HBP-TDI-HBP 的合成路线见式(1)[3]。
201110081437589375.jpg

引发剂在不同条件下引发光聚合的动力学由实时傅里叶变换红外光谱技术(RTIR)进行研究。HBP-TDI-HBP 和二苯甲酮光引发体系引发二缩三丙二醇二丙烯酸酯(TPGDA)光聚合的转化率对时间曲线如图1 所示。
201110081439004687.jpg
在光聚合较早阶段,BP 光引发体系的聚合速率比HBP-TDI-HBP 稍快,这是因为在相同的质量分数下,BP 光引发体系的发色团含量比HBP-TDI-HBP 要高(BP 的相对分子质量较小)。但是HBP-TDI-HBP 光引发体系引发单体聚合的最终转化率和光聚合后期的速率比BP 要高,说明HBP-TDI-HBP 比BP 具有更高的光引发效率。

2 可聚合二苯甲酮衍生物的合成及性能研究
4,4′-二羟基二苯甲酮在中紫外区域有较强的吸收峰,但是由于其较差的溶解性和聚合过程中较明显的黄变性,限制了其在紫外光聚合配方中的应用。如果将丙烯酸酯基团引入到4,4′-二羟基二苯甲酮中,羟基将被丙烯酸酯基团代替,可能会改善其在(甲基)丙烯酸酯类配方中的溶解性。同时,丙烯酸酯化的二苯甲酮衍生物在光聚合过程中能够与(甲基)丙烯酸酯单体共聚,从而使得这种二苯甲酮衍生物气味较低、溶解性好并且迁移性低,在紫外光固化配方中比二苯甲酮更有效。
利用4,4′-二羟基二苯甲酮和丙烯酰氯反应合成了一种可聚合的二苯甲酮衍生物光引发剂(DABP)。其合成路线见式(2)[4]。
201110081440316718.jpg
由紫外可见吸收光谱研究其光化学行为。DABP 和BP在氯仿溶液中的紫外-可见吸收光谱如图2 所示。
201110081441225000.jpg
DABP 在263 nm 处有最大吸收,其最大摩尔消光系数(εmax)为22 198 L·mol-1·cm-1。与BP 相比(λmax=253 nm,ε=17 049 L·mol-1·cm-1),DABP 的最大吸收波长红移了10 nm,这可能是由于其含有与苯环相连的氧原子的给电子效应所引起。
DABP 最大吸收波长的红移使其能够更加接近紫外光源的发射波长,从而对其进行更加有效的吸收。因此,在相同条件下,DABP 在光照下能够产生比BP 更多的自由基,而且其引发(甲基)丙烯酸酯光固化的速率也比BP 要快。图3 是DABP 和BP 光引发体系引发二缩三丙二醇二丙烯酸酯(TPGDA)光聚合的转化率对时间曲线。
201110081442180781.jpg
开始时,BP 光引发体系引发光聚合的速率比DABP 稍快,这是因为在相同的质量分数下,BP 光引发体系的发色团含量比DABP 要高(BP 的相对分子质量较小)。但是DABP光引发体系引发单体聚合的最终转化率和光聚合后期的速率比BP 要高,说明与BP 相比DABP 有更高的光引发效率。

3 单组分二苯甲酮/哌嗪夺氢型光引发剂的合成及光聚合性能研究
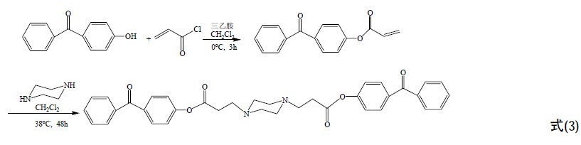
4-羟基二苯甲酮为一种二苯甲酮衍生物,但是由于其较差的溶解性和聚合过程中较明显的黄变性,限制了其在紫外光聚合配方中的应用[5]。如果将叔胺基团通过化学反应引入到4-羟基二苯甲酮中,并将羟基取代,有可能提高其在(甲基)丙烯酸酯配方中的溶解性。同时,二苯甲酮基团和叔胺基团连接在相同的一个分子上,在光聚合过程中,二苯甲酮基团可以通过与其连在相同的分子上的胺烷基自由基结合到(甲基)丙烯酸酯单体聚合后的产物中,从而使这种二苯甲酮衍生物有着潜在的低气味、好的溶解性和低迁移等优点。
利用4-羟基二苯甲酮、丙烯酰氯和哌嗪反应合成了一种单组分夺氢型光引发剂(PDBP),其合成路线见式(3)[6]。
201110081443349531.jpg
PDBP、BP/TEA 和BP 光引发体系引发二缩三丙二醇二丙烯酸酯(TPGDA)光聚合的转化率对时间曲线如图4 所示。
201110081444197187.jpg
在此3 种光引发体系中二苯甲酮基团摩尔浓度相同的条件下,PDBP 引发光聚合的速率和最终转化率都较高。这可能是由于对PDBP 而言,二苯甲酮基团和叔胺基团在同一个分子中,其距离比较接近,自由基可以通过较快的分子内反应产生;而在BP/TEA 体系中,自由基只能通过分子间的反应而产生。因此,PDBP 是比BP/TEA 和BP 更为有效的光引发剂。

4 含有二苯甲酮及叔胺基团的大分子引发剂的合成及光聚合性能研究
光引发剂的大分子化是一种得到高性能光引发剂的重要方法,与类似的小分子光引发剂相比由于其大分子的性质赋予其一定的优点[7-9]。同时,含有光敏剂发色团和叔胺基团的大分子光引发剂由于高分子效应[10,11],可能会使其有诸如在配方中溶解性和相容性好,低气味和低毒性等优点。如果将叔胺基团通过化学反应引入到4,4′-二羟基二苯甲酮中并形成大分子光引发剂,有可能提高其在(甲基)丙烯酸酯配方中的溶解性。同时,二苯甲酮基团和叔胺基团连接在相同的一个分子上,在光聚合过程中,二苯甲酮基团可以通过与其连在相同的分子上的胺烷基自由基结合到(甲基)丙烯酸酯单体聚合后的产物中,从而使这种二苯甲酮衍生物有着潜在的低气味、好的溶解性和低迁移等优点。
合成了一种大分子单组分夺氢型光引发剂(PDABPP),其合成路线如式(4)[12]。
201110081445307500.jpg
PDABPP、BP/TEA 和BP 光引发体系引发二缩三丙二醇二丙烯酸酯(TPGDA)光聚合的转化率对时间曲线如图5 所示。在此3 种光引发体系中二苯甲酮基团摩尔浓度相同的条件下,PDABPP 引发光聚合的最终转化率和BP/TEA 光引发体系几乎相同。在PDABPP 中,二苯甲酮基团和叔胺基团被引入同一个大分子中,自由基可以通过分子内反应产生,使得这种大分子自由基结合到固化后的产物中,有效地降低了其迁移性。结果显示,PDABPP 和BP/TEA 几乎具有相同的效果,能够作为一种好的二苯甲酮替代物。

201110081446351718.jpg
5 可聚合二苯甲酮衍生物的合成及性能研究
将叔胺基团和丙烯酸酯基团通过化学反应引入到4-羟基二苯甲酮中,其羟基将被取代,从而有可能提高其在(甲基)丙烯酸酯配方中的溶解性。同时,由于二苯甲酮基团、叔胺基团和丙烯酸酯基团在一个分子中,在光聚合过程中,二苯甲酮基团可以通过胺烷基自由基而结合到(甲基)丙烯酸酯单体聚合后的产物中。同时,其也可以与(甲基)丙烯酸酯单体发生共聚,从而使这种二苯甲酮衍生物有着潜在的低气味、好的溶解性和低迁移等优点。
利用4-羟基二苯甲酮、环氧氯丙烷和吗啡啉反应合成了一种可聚合单组分夺氢型光引发剂(CMEBP),其合成路线如式(5)[13]。
201110081447263906.jpg
CMEBP、BP/TEOHA 和HBP/TEA 的紫外-可见吸收光谱如图6 所示。BP 在250 nm 处的吸收峰为π-π*跃迁所致;其在338 nm 处的吸收峰则为n-π*跃迁所致,由于其为对称性禁阻跃迁,所以此波长处的摩尔消光系数较小。但是(n,π*)激发态与氢给体(叔胺)的反应活性比(π,π*)激发态要高,所以其与助引发剂反应更快。HBP 在284 nm处有最大吸收,与BP 相比红移了34 nm,这是由于苯氧基的电子效应所致。因此,在较高浓度下,HBP 的n-π*跃迁吸收峰被其更强的π-π*跃迁吸收峰的肩峰所覆盖。CMEBP 有与HBP 相似的吸收峰,表明叔胺和丙烯酸酯基团的引入并没有明显改变HBP 的紫外可见吸收性质。
201110081448276562.jpg
图7 为CMEBP、BP/TEOHA、HBP/TEA 和1173 光引发体系引发二缩三丙二醇二丙烯酸酯(TPGDA)光聚合的转化率对时间曲线。
201110081449339843.jpg
如图7 所示,裂解型光引发剂1173 显示出较高的反应活性(tmax 较短)和较大的Rp,但是其最终转化率较低。这是因为裂解型光引发剂为单分子反应产生自由基,其生成自由基的速率比由双分子反应产生自由基的夺氢型光引发剂要快。当由1173 引发TPGDA 光聚合时,其在聚合反应较早阶段就能达到较高的转化率,凝胶效应使得体系黏度增大,最终引起了体系较高的交联密度,从而限制了转化率进一步增大的程度。

6 结语
近年来,UV 固化塑料涂料作为一种环境友好的绿色技术得到了蓬勃的发展,光引发剂是光固化体系的主要成分,它对固化体系灵敏度起决定性作用。通过合成大分子和可聚合引发剂合成的低迁移性光引发剂,可以有效地提高光固化速度,降低毒性,使其更好地应用于UV 固化塑料涂料中。

为您推荐

返回顶部