近年来,随着人们对环境保护和能源利用的不断重视,世界各国对传统溶剂型涂料中挥发性有机化合物( VOC) 的排放愈加限制,研制低污染环境友好型涂料已成为现阶段涂料业发展的主要方向之一[1]。紫外光( UV) 固化涂料是20 世纪60年代开发出的一种环保节能涂料,凭借其固化速度快、生产效率高、设备投资少、材料性能优异、对环境污染少等优势日益受到重视,在高技术领域和工业的许多方面都有广泛的应用。感光性树脂是UV 固化涂料的主体部分,它决定着固化涂料的基本性能,聚氨酯丙烯酸酯( PUA) 是目前研究较多的感光性树脂,它既具有聚氨酯树脂极佳的附着力和耐磨性,又具有丙烯酸树脂超常的耐冷热水性、优异的耐候性及耐化学腐蚀性等,该复合树脂在一定程度上还可以克服聚氨酯树脂容易变黄的缺点,具有较好的综合性能。本文研制的UV 固化聚氨酯丙烯酸酯涂料采用自制高活性聚氨酯丙烯酸酯作为主体树脂,配合活性稀释剂单体、丙烯酸体系、光引发剂及涂料所需其他助剂,通过优化设计配方,得到性能优良的紫外光( UV) 固化涂料。
1 实验部分
1. 1 主要原料及设备
HDI 三聚体( CORONATE HX) : 工业级,上海贝合化工有限公司; 丙烯酸羟丙酯( HPA) : 工业级,上海晶沪化工有限公司; 对苯二酚: 分析纯,天津科密欧化学试剂有限公司; 季戊四醇三丙烯酸酯( PETA) : 工业级,广州远达化工技术有限公司;三丙二醇二丙烯酸酯( TPGDA) : 工业级,南京友好助剂化工有限责任公司; 二月桂酸二丁基锡( DBTDL) : 化学纯,天津化学试剂一厂; 光引发剂TPO: 工业级,广州拓华化工科技有限公司; 光引发剂184: 工业级,南京瓦力化工科技有限公司; 乙酸丁酯、丙酮: 分析纯,汕头西陇化工有限公司; 二正丁胺: 化学纯,浙江建业化工股份有限公司; 盐酸: 分析纯,广州市上泰化工有限公司。UV 固化机( 180W) : 柳州振天塑胶科技有限公司; 漆膜柔韧性测定器: 天津科联材料试验机厂; QHQ 型漆膜铅笔划痕硬度仪: 天津市建仪试验机有限责任公司。
1. 2 PUA 的制备
在装有回流冷凝管( 带干燥管) 、搅拌器、温度计和恒压滴液漏斗的干燥洁净四口烧瓶中,加入乙酸丁酯,在搅拌状态下加入适量HDI 三聚体,通入干燥N2保护,逐步升温至50 ℃左右,通过恒压滴液漏斗滴入HPA 及适量的阻聚剂对苯二酚和催化剂DBTDL,控制滴加速度,整个滴加过程在1 h 内完成。逐步升高温度至70 ℃左右,反应4 ~ 5 h,反应过程中定时取样对体系中—NCO的含量进行测定,当测定结果达到理论值时,视反应结束。冷却至室温,即得PUA 预聚物,密封保存待用。
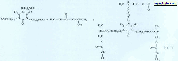
三官能度聚氨酯丙烯酸酯PUA 预聚物是由HDI 三聚体与丙烯酸羟丙酯在有催化剂、阻聚剂存在的情况下反应得到的以HPA 封端的PUA 低聚物。如式( 1) 所示。
1. 3 PMA 的制备
在装有温度计、冷凝器、搅拌器和N2导入管的四口烧瓶中加入一定量的AIBN、甲苯和乙酸丁酯,搅拌混合均匀,升温至60 ℃左右,分4 次加入丙烯酸甲酯及剩余AIBN,每次时间间隔为1 h。加完之后升温至77 ℃继续反应5 ~ 6 h,冷却至室温,即得PMA,密封保存待用。
1. 4 涂膜的制备
将聚氨酯丙烯酸酯、聚丙烯酸甲酯、活性稀释剂单体、光引发剂等其他助剂按一定比例混合,搅拌均匀。选取50 mm× 50 mm 的金属铁片,先对铁片的表面做打磨处理,然后用乙酸丁酯清洗铁片表面,最后用湿膜制备器涂布在铁片上,用高压汞灯照射一定时间,使其固化成膜。UV 固化涂料的基本配方见表1。
1. 5 性能测试
( 1) 附着力: 参照GB/T 9286—1988 方法,通过划格实验的方法对涂膜的附着力进行测定。
( 2) 表干时间( s) : 用指触法测定。
( 3) 铅笔硬度: 参照GB/T 6739—2006 方法,使用漆膜铅笔划痕硬度仪对涂膜的铅笔硬度进行测定。
( 4) 柔韧性: 参照GB/T 6742—2007 方法,使用漆膜柔韧性测定器对漆膜耐弯曲性能进行测试。
( 5) 耐水性: 在常温水中浸泡168 h,观察涂膜是否有脱落或者起泡等现象。
( 6) 热性能( DSC) : 采用差示扫描量热( DSC) 法进行表征。
2 结果与讨论
2. 1 树脂含量对涂料性能的影响
低聚物是光固化涂料的主体,它不仅影响到光固化速率,同时对光固化后涂膜的主要力学性能有很大的影响,如附着力、固化时间、硬度、颜色、柔韧性及其耐水性等。本试验测试了不同PUA 含量对涂膜性能的影响,其他各主要组分的质量分数分别为: 活性稀释剂: 20%; 丙烯酸树脂: 10%; 光引发剂:3%,添加适量助剂。涂膜性能见表2。
如表2 所示,随PUA 含量的增加,双键含量逐渐增多,活性基团增多,活性增强,交联密度增大,固化速度加快,硬度增大,但柔韧性逐渐变差; 当PUA 含量为45% 时,膜附着力较好,固化时间较快,同时具有良好的硬度及耐水性。
2. 2 活性稀释剂对涂料性能的影响
活性稀释剂是一种含有可聚合官能团的有机小分子,不仅可以溶解低聚物,对低聚物起到稀释作用,调节体系黏度,而且参与光固化过程,影响涂料的固化速度,对固化膜的多种性能都有影响。因此,合理选择活性稀释剂也是光固化涂料配方设计的重要环节[10]。本试验以自制PUA 为主体树脂,用量占总质量45%,丙烯酸树脂占10%,引发剂用量占3%,活性稀释剂单体占20%,添加适量助剂,调整不同单体及其配比。涂膜性能见表3。
由表3 可以看出,随活性稀释剂单体官能度的增多,光固化反应活性增高,固化速度加快,同时固化膜的交联密度增大,固化膜的硬度提升,但是柔韧性变差,体系的黏度变大,对膜的性能造成一些不良影响。综合试验得出: 选择质量比为1∶ 1的双官能度的TPGDA 和三官能度的PETA 复合体系作为稀释单体,涂膜综合性能优良。
2. 3 PMA 含量对涂膜性能的影响
聚丙烯酸甲酯易溶解,成膜性能较好,有助于提升涂膜的自流平性能,使涂膜具有光滑均匀的表面,赋予涂膜较好的视觉效果。本研究以自制PUA 为主体树脂,用量占总质量45%,引发剂用量占3%,活性稀释剂单体占20%,添加适量助剂,调节PMA 含量。涂膜性能如表4 所示。
如表4 所示,随PMA 含量的增加,涂膜的柔韧性逐渐变好,附着力也逐渐增强,但是涂膜表干时间变长,同时涂膜的硬度变差,所以综合考虑选择PMA 含量为10%进行试验。
2. 4 引发剂对涂料性能的影响
光引发剂是光固化涂料的重要组分之一,在固化涂料中含量不高,但对光固化涂料的固化速度起决定性作用。本试验以自制PUA 为主体树脂,占总质量的45%,活性稀释剂选择m( TPGDA) ∶ m( PETA) = 1∶ 1,占总质量的20%,丙烯酸树脂占总质量的10%,光引发剂占总质量的3%,添加适量助剂。涂膜性能如表5 所示。
选择光引发剂时要综合考虑各种因素,如有耐黄变性、固化速度、涂膜性能。由于光引发剂价格通常较高,出于对涂料价格的考虑,选择光引发剂时还需考虑其价格等方面问题。通过本实验的对比研究,我们选择m( TPO) ∶ m( 光引发剂184) = 1. 5∶ 1的光引发剂体系。
2. 5 UV 固化PUA 涂料的Tg分析
采用差示扫描量热仪对UV 固化PUA 涂膜进行Tg分析,以确定玻璃化温度,图1 为固化后PUA 涂膜的Tg曲线图。如图1 所示,UV 固化涂膜的Tg曲线,外推起始温度为48. 7 ℃,中点温度为60. 9 ℃,外推终止温度为65. 1 ℃,因此涂料固化后涂膜的玻璃化温度( Tg) 为60. 9 ℃,玻璃化温度适中,涂膜韧性较好,适合对多种基材进行施工涂膜。
3 结语
( 1) 当聚氨酯丙烯酸酯( PUA) 含量为45% 时,膜的柔韧性及附着力皆达到最大值,所需固化时间较短,同时具有良好的硬度及耐水性,当聚丙烯酸甲酯( PMA) 的含量为10%时,涂膜具有较好的综合性能。
( 2) 通过试验得出,选择质量比为1∶ 1的双官能度的TPGDA和三官能度的PETA 复合体系作为稀释单体,用m( TPO) ∶m( 184) 为1. 5∶ 1的复合体系作为光引发剂时,涂膜具有较好的综合性能。
( 3) 该涂膜的Tg( 玻璃化温度) 为60. 9 ℃,玻璃化温度适中,赋予涂膜较好的韧性,可用作为对多种基材的涂膜。