飞机舱内装饰用水性双组分聚氨酯涂料的制备

飞机舱内装饰用水性双组分聚氨酯涂料的制备

0 引言 近年来,我国航空工业获得了大力的发展,尤其是国产支线飞机的运营和“大飞机”项目的启动,使得我国的航空涂料进入快速发展、壮大的时期。根据使用部位和防...
水性聚氨酯的改性

水性聚氨酯的改性

0 前言 近几年来,我国华北和其他一些地区频频遭受雾霾天气侵袭,大气中的PM2.5以及挥发性有机物(VOC)排放成为人们最为关心的话题。溶剂型涂料由于使用了大量有机溶剂,污染环境,...
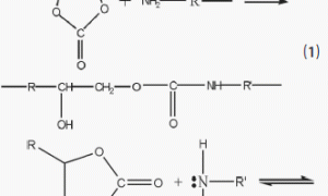
非异氰酸酯聚氨酯的制备与应用

非异氰酸酯聚氨酯的制备与应用

非异氰酸酯聚氨酯的制备与应用 樊庆春,胡芽,李文,吴科,张忍(武汉工程大学绿色化工过程省部共建教育部重点实验室,湖北省新型反应器与绿色化学工艺重点实验室,武汉,430074) 19...
高性能、易分散水性多异氰酸酯固化剂的合成与应用研究

高性能、易分散水性多异氰酸酯固化剂的合成与应用研究

高性能、易分散水性多异氰酸酯固化剂的合成与应用研究 □ 纪学顺,晋云全,赵伟国,曾望,田华营,林争超,乔义涛,孙家宽(万华化学股份有限公司,山东烟台 264002) 0 前言 水分...
高固体分聚氨酯航空涂料的研制

高固体分聚氨酯航空涂料的研制

高固体分聚氨酯航空涂料的研制 周如东,王李军,朱亚君,陆文明,谭伟民,朱晓丰,李文凯(中海油常州涂料化工研究院有限公司,江苏常州213016) 0 引言 随着涂料消费税新政的推出,...
水性聚氨酯涂料的改性方法

水性聚氨酯涂料的改性方法

水性聚氨酯涂料的改性方法 侯 薇1, 2  陈 龙1, 2  王安之1, 2  兰延勋 吕满庚1(1. 中国科学院广州化学研究所 510650)  (2. 中国科学院研究生院 北京...
水性聚氨酯涂料的应用及研究进展

水性聚氨酯涂料的应用及研究进展

水性聚氨酯涂料的应用及研究进展* 张玉 杨建军* 吴庆云 张建安 吴明元( 安徽大学化学化工学院与安徽省绿色高分子材料重点实验室合肥230601) 传统溶剂型聚氨酯( PU) 制得...
聚碳酸亚丙酯基水性聚氨酯的制备及其在水性防腐涂料中的应用研究

聚碳酸亚丙酯基水性聚氨酯的制备及其在水性防腐涂料中的应用研究

聚碳酸亚丙酯基水性聚氨酯的制备及其在水性防腐涂料中的应用研究 许海燕1,2,张兴元1,孙伟1,杨劲松3,李维虎1,戎佳萌1,徐玉俊3,林建新3,王怀伟1(1. 中国科学技术大学高分...
聚氨酯固化剂中TDI和HDI含量测试结果重复性差的原因分析

聚氨酯固化剂中TDI和HDI含量测试结果重复性差的原因分析

0 引言 自GB/T 18446—2001 颁布以来,聚氨酯固化剂中TDI(甲苯二异氰酸酯)和HDI(六亚甲基二异氰酸酯)含量测试结果重复性差的问题不断出现。如今GB/...
水性聚氨酯涂料的智能化发展

水性聚氨酯涂料的智能化发展

水性聚氨酯涂料的智能化发展 朱明露,朱蕙岚,谢海娇,朱明成 ( 东南大学化学化工学院,江苏南京 211189) 0 引言 聚氨酯(PU)涂料即聚氨基甲酸酯涂料,是一种用途极为广泛的...
返回顶部