电泳涂料防腐能力评价方法研究

电泳涂料防腐能力评价方法研究

电泳涂料防腐能力评价方法研究 苟泽明1,郭玉凤2(1. 北京长城华冠汽车技术开发有限公司,北京 101300 ;2. 北京汽车股份有限公司,北京 101300) 0 引言 电泳涂料...
丙烯酸酯环氧底、面合一阴极电泳涂料的合成及其性能

丙烯酸酯环氧底、面合一阴极电泳涂料的合成及其性能

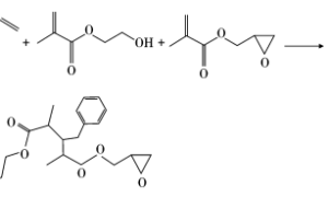
0 前言 阴极电泳涂料常以双酚A 型环氧树脂为主体,具有很高的附着力和优异的防腐蚀性能,常用于底涂和防腐蚀面涂,但其耐候性能不够好。丙烯酸酯型树脂具有优异的耐候性和良好的保色、保光...
一次漆膜鼓泡缺陷的分析及解决

一次漆膜鼓泡缺陷的分析及解决

1 问题描述 去年夏季,某厂在总装车间和成品车停车场发现一车型右后门锁定钩附近区域存在批量漆膜缺陷(图1)。该缺陷外观呈密集凸起状,类似毛孔群;且呈手印或擦拭印迹,其它部位未发现类...
浅谈涂装SE防腐性分析

浅谈涂装SE防腐性分析

0 引言 汽车是由各种金属零部件和非金属零部件组成, 在其服役环境中会产生不同程度锈蚀和老化。一般来 说,除意外交通事故或零部件磨损外,腐蚀是汽车损坏 报废常见的重要原因。再者,随...
简易型PVDC类自沉积涂料的研制

简易型PVDC类自沉积涂料的研制

简易型 PVDC类自沉积涂料的研制 孟 毅,周宪民,宋 凡,夏 雨 (沈阳帕卡濑精有限总公司技术部,辽宁沈阳 110042) 0 引言 自沉积涂料是一种不用通电,仅通过化学反应使涂...
电泳颗粒问题的分析及解决

电泳颗粒问题的分析及解决

电泳颗粒问题的分析及解决 王 林,邢汶平,龙凯峰,吴朝华 ( 安徽江淮汽车集团股份有限公司,安徽合肥 230601) 0 引言 近些年,随着涂装新工艺、新材料的推广应用,B1B2 ...
车用高性能阴极电泳涂料

车用高性能阴极电泳涂料

0 引言 作为汽车及其他金属部件最有效的防护措施之一,电泳涂料和涂装技术一直处于不断发展和进步中。金力泰公司针对阴极电泳涂料的核心技术:耐蚀性、泳透效果、多涂层配套,开发了新一代高...
电泳铜质颗粒缺陷的治理

电泳铜质颗粒缺陷的治理

0 引言 公司某电泳线自建成并正式投产后,电泳出车均车身颗粒缺陷明显偏多,大大增加了打磨处理的工作量,同时由于过度打磨而大大降低了车身表面质量合格率及车身的防腐性能。  ...
车身钢板及不同电泳膜厚对耐蚀性的影响研究

车身钢板及不同电泳膜厚对耐蚀性的影响研究

车身钢板及不同电泳膜厚对耐蚀性的影响研究 刘承鑫1,黄 平2,刘 雁2,张营营2,叶 宏1,闫忠琳1 (1. 重庆理工大学,重庆 400054 ;2. 重庆长安汽车股份有限公司,重...
浅谈阴极电泳涂料二次流痕解决思路

浅谈阴极电泳涂料二次流痕解决思路

浅谈阴极电泳涂料二次流痕解决思路 边春利1,马秀峰2 (1.北京汽车集团有限公司,北京 101300;2.北京汽车研究总院有限公司,北京 101300) 0 前 言 汽车涂装车身电...
返回顶部