爆沸引起的电泳缩孔浅析 ——如何解决新涂装车间电泳缩孔问题

爆沸引起的电泳缩孔浅析 ——如何解决新涂装车间电泳缩孔问题

爆沸引起的电泳缩孔浅析 ——如何解决新涂装车间电泳缩孔问题 张 莹1,秦和平1,周 杰2(1. 上汽大众(新疆)汽车有限公司,新疆乌鲁木齐 830000 ;...
油漆桔皮的控制

油漆桔皮的控制

油漆桔皮可以通过激光桔皮仪进行定量测定,桔皮仪测定原理是利用60°激光聚焦在涂层表面,在10 cm 的距离内定量测定涂层表面波纹的光学轮廓,获得准确的数据。为模拟人眼的分辩...
浅谈阴极电泳漆涂装线缩孔缺陷

浅谈阴极电泳漆涂装线缩孔缺陷

0 引言 缩孔是阴极电泳漆涂装线最常见的且很难消除的漆膜缺陷之一。缩孔会严重降低作为底漆的电泳漆膜的保护性能,使中涂漆和面漆不能很好地附着在基层上,从而影响装饰效果。一旦出现缩孔,...
低温固化阴极电泳涂料的合成与涂装研究

低温固化阴极电泳涂料的合成与涂装研究

引言 20 世纪70 年代初,美国PPG 公司首次研究出阴极电泳涂料,并以其优良的性能,逐渐代替了阳极电泳涂料,广泛应用于汽车、家电等行业的新型防腐蚀涂料。目前阴极电泳涂料主要是以...
浅谈新车型前处理电泳生产准备

浅谈新车型前处理电泳生产准备

0 引言 随着我国汽车的热销,市场竞争日益激烈,汽车企业新车型开发呈现出品种多、速度快的局面。只有更好、更快地进行新车型开发并投放市场,满足用户日益增长的质量要求,才能为企业在激烈...
薄膜超高泳透力电泳涂料综述

薄膜超高泳透力电泳涂料综述

薄膜超高泳透力电泳涂料综述 宋华1,张智2,赵冉1(1.中国第一汽车股份有限公司技术中心,长春130011;2.长春安特涂装技术工程有限公司,长春130012) 0 引言 随着国内...
电泳漆pH对漆膜质量的影响

电泳漆pH对漆膜质量的影响

电泳涂装将导电性的被涂物浸渍在水性涂料中,在两极间通直流电,在被涂物表面上形成一层均一、致密、不溶于水的涂膜,是一种低污染、省能源、省资源的涂装方法。电泳涂膜具有涂膜平整,耐水性和...
有机氟改性阴极电泳涂料的制备及性能

有机氟改性阴极电泳涂料的制备及性能

有机氟改性阴极电泳涂料的制备及性能 姚伟明,李兵兵,谢文哲,王正平* (广州大学化学化工学院,广东 广州 510006) 阴极电泳涂料作为一种工业化应用的新型装饰性水性涂料,具有低...
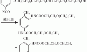
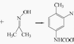
低温固化阴极电泳涂料的研究

低温固化阴极电泳涂料的研究

上世纪 70 年代初,美国PPG 公司首次研究出阴极电泳涂料,之后,阴极电泳涂料以其优良的性能逐渐代替了阳极电泳涂料,而广泛应用于汽车、家电等行业。目前,阴极电泳涂料主要是以双酚A...
节能环保防沉降电泳涂料应用研究

节能环保防沉降电泳涂料应用研究

0 引言 在汽车市场竞争日趋激烈的情况之下,各汽车主机厂在生产过程中需要更加严格地控制生产成本。汽车涂装既关系到汽车的商品价值,也关系到汽车的生产成本,因此必须对汽车涂装的质量与成...
返回顶部