耐热黄变阴极电泳涂料的制备及性能

耐热黄变阴极电泳涂料的制备及性能

耐热黄变阴极电泳涂料的制备及性能 凌晓飞,陈卫东,胡中,狄文伟,顾丽萍,陈兴兰,周伟博,刘益阳 ( 中海油常州涂料化工研究院,江苏常州213016) 电泳涂料作为新型环保水性涂料,...
有机硅改性环氧丙烯酸阴极电泳漆的制备

有机硅改性环氧丙烯酸阴极电泳漆的制备

有机硅改性环氧丙烯酸阴极电泳漆的制备 宫晟东1,翟林峰1,谭育远2,王华林* 1 ( 1. 合肥工业大学化工学院,合肥 230009;2. 安徽海程涂复科技有限公司,合肥 2316...
丙烯酸微凝胶的合成及其在阴极电泳涂料中的应用

丙烯酸微凝胶的合成及其在阴极电泳涂料中的应用

丙烯酸微凝胶的合成及其在阴极电泳涂料中的应用 戚乔乔 王伟栋 沈旭晨 沈华青 蔡志强 (上海金力泰化工股份有限公司技术中心,上海 201414) 0 引言 20 世纪70 年代,P...
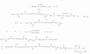
低温固化环氧阴极电泳涂料的大分子交联剂的制备

低温固化环氧阴极电泳涂料的大分子交联剂的制备

低温固化环氧阴极电泳涂料的大分子交联剂的制备 何煦1,戴晨伟1,管华平2,章于川1 ( 1. 安徽大学化学化工学院,合肥230039; 2. 安徽省滁州市来安中学,安徽滁州2392...
废聚酯瓶制取水溶性聚酯绝缘电泳漆的研究

废聚酯瓶制取水溶性聚酯绝缘电泳漆的研究

废聚酯瓶制取水溶性聚酯绝缘电泳漆的研究 陈玉滨1,吴津成1,陈文波2 (1.中昊北方涂料工业研究设计院有限公司,兰州730020;2.西北矿业研究设计院,甘肃白银730900) 0...
电泳混槽试验研究

电泳混槽试验研究

电泳混槽试验研究 王书燕 (长城汽车股份有限公司技术中心,河北省安全一体化与智能控制重点实验室,河北保定071000) 随着汽车工业的飞速发展,阴极电泳漆以其优异的耐腐蚀性能在汽车...
电泳漆膜异常附着案例浅析

电泳漆膜异常附着案例浅析

0 引言 电泳漆膜异常附着是电泳漆膜缺陷之一,在生产过程中,需要对异常附着的漆膜进行打磨处理,影响工序下线率的同时还会降低该部位的防腐性能。本文结合我公司某涂装车间生产线现场实践经...
光敏性微凝胶在光固化电泳涂料中的应用

光敏性微凝胶在光固化电泳涂料中的应用

光敏性微凝胶在光固化电泳涂料中的应用 刘仁,安丰磊,张胜文,董雅洁,刘晓亚* ( 江南大学食品胶体与生物技术教育部重点实验室,化学与材料工程学院,江苏无锡214122) 光固化电泳...
丙烯酸酯改性环氧阴极电泳涂料的研究

丙烯酸酯改性环氧阴极电泳涂料的研究

0 引 言 阴极电泳涂料由于具有优异的防腐蚀性、高泳透力、高流平性、高装饰性、涂装自动化程度高、不溶解被涂物、槽液稳定以及环境友好等优点,已经在汽车工业及其他金属涂装领域得到了广泛...
低温固化无铅阴极电泳涂料的制备

低温固化无铅阴极电泳涂料的制备

低温固化无铅阴极电泳涂料的制备 钟 萍1, 2, 韩小朋1, 肖 鑫1, 张富安3 ( 1. 湖南工程学院化学化工系, 湖南 湘潭 411104;2. 武汉材料保护研究所, 湖北 ...
返回顶部