纳米复合粉体改性变频绝缘漆研制

纳米复合粉体改性变频绝缘漆研制

纳米复合粉体改性变频绝缘漆研制 施利毅,  张剑平,  钟庆东,  马寒冰 (上海大学理学院化学系, 上海200444) 0 引 言 众所周知, 变频...
用废聚酯塑料生产绝缘漆的研究

用废聚酯塑料生产绝缘漆的研究

用废聚酯塑料生产绝缘漆的研究 邵建新 李 慧 翟 筱 邓树娥 崔 群 孙风祥 (潍坊医学院 山东潍坊 261042) 1730 聚酯绝缘漆是一种漆包线漆,它具有优良的弹性、耐热、耐...
纳米氧化铝改性无溶剂绝缘漆耐电晕性能的研究

纳米氧化铝改性无溶剂绝缘漆耐电晕性能的研究

纳米氧化铝改性无溶剂绝缘漆耐电晕性能的研究 范勇, 刘伟, 周宏, 安军伟 (哈尔滨理工大学材料科学与工程学院, 哈尔滨150040) 1 前言 有机高聚物/ 无机杂化材料兼有机高...
桐油改性醇酸氨基水性绝缘漆的制备及性能

桐油改性醇酸氨基水性绝缘漆的制备及性能

桐油改性醇酸氨基水性绝缘漆的制备及性能 王华林, 王启文明, 贺楠男, 王继植 ( 合肥工业大学化工学院, 安徽合肥230009) 传统的有机溶剂型涂料含有大量的挥发性有机物( V...
废旧聚酯改性生产漆包线绝缘漆的工艺研究

废旧聚酯改性生产漆包线绝缘漆的工艺研究

聚酯绝缘漆最早由西德Beck 公司研制成功并用于B 级漆包线, 现在已有50多年的使用历史[1 ]。我国在1962年后将B 级绝缘材料大量用于机电工业, 目前仍在使用。在漆包线聚酯...
聚酰胺酰亚胺耐高温绝缘漆的研究

聚酰胺酰亚胺耐高温绝缘漆的研究

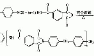
聚酰胺酰亚胺耐高温绝缘漆的研究 杜玉杰1 , 张慧敏1 , 许东卫2 (1. 河南省化工研究所, 河南郑州 450052 ; 2. 郑州市环境卫生科学研究所, 河南郑州 45000...
低挥发低流失不饱和聚酯/苯乙烯绝缘漆及其应用工艺

低挥发低流失不饱和聚酯/苯乙烯绝缘漆及其应用工艺

1 前言 无溶剂绝缘漆显著减少了挥发性有机化合物(VOC) 的排发,并且提高了电器绝缘的性能,劳动生产率,降低了成本。因此在我国无溶剂绝缘漆的产量和在绝缘漆所占的比例快速增长,其中...
新型可溶性聚芳醚腈酮的合成及其在绝缘漆领域的应用

新型可溶性聚芳醚腈酮的合成及其在绝缘漆领域的应用

新型可溶性聚芳醚腈酮的合成及其在绝缘漆领域的应用 王明晶,刘 程,阎庆玲,董黎明,蹇锡高 (大连理工大学高分子材料系,辽宁省高性能树脂工程技术研究中心,辽宁大连116012) 1 ...
无溶剂绝缘漆常用活性稀释剂-苯乙烯

无溶剂绝缘漆常用活性稀释剂-苯乙烯

1 前言 无溶剂绝缘漆由于不含毒性极强的苯、甲苯、二甲苯从而显著减少了挥发性有机化合物的排放,并且提高了电气绝缘性能,简化了固化工艺,降低了劳动强度。因此,无溶剂绝缘漆已经基本代替...
马来松香合成耐热绝缘漆的研究

马来松香合成耐热绝缘漆的研究

马来松香是松香和马来酐的加成物, 具有耐光、耐氧化和软化点高等优点, 广泛被用在造纸、涂料、油墨、建筑、化工和有机合成等部门, 是用途最广、产量最大的松香改性品种之一[1 ]。但有...
返回顶部