水性UV涂料的应用与研究进展

水性UV涂料的应用与研究进展

0 引言 紫外光(UV)固化涂料是一种高效、节能、环保的新型涂料[1-3],传统UV 涂料采用活性稀释剂调节流变,造成涂料具有强烈的刺激性气味,并对涂膜的物理性能产生不良影响。水性...
静电涂装UV涂料的配方设计与施工

静电涂装UV涂料的配方设计与施工

静电涂装UV涂料的配方设计与施工 □ 王贤平,付见亮,朱强,郭玉 (展辰涂料集团股份有限公司,广东深圳 518107) 0 前言 与其他涂料相比较,UV涂料具有常温固化速度快、生产...
关于改进辊涂UV 高光面漆流平性的研究

关于改进辊涂UV 高光面漆流平性的研究

0 引言 随着近年来人们环保意识的增强,以及环保法规的制定,紫外光固化涂料(简称UV 涂料)的应用越来越多。紫外光固化涂料是目前所有涂料中涂装方式最为复杂多变的涂料体系,基本上涵盖...
金属用紫外光固化涂料的研发

金属用紫外光固化涂料的研发

金属用紫外光固化涂料的研发 钟荆祥 程绍楠 王鹏 胡中源 ( 青岛富臣化工有限公司,266706) 0 引言 UV(紫外光)光固化涂料与传统的热固化或自干涂料相比,具有固化快(几秒...
关于改进辊涂UV高光面漆流平性的研究

关于改进辊涂UV高光面漆流平性的研究

0 引言 随着近年来人们环保意识的增强,以及环保法规的制定,紫外光固化涂料(简称UV 涂料)的应用越来越多。紫外光固化涂料是目前所有涂料中涂装方式最为复杂多变的涂料体系,基本上涵盖...
UV涂料用活性稀释剂研究进展

UV涂料用活性稀释剂研究进展

UV涂料用活性稀释剂研究进展 □ 浦建光,高延敏,李为立,李照磊,袁清峰 (江苏科技大学,江苏省先进焊接技术重点实验室,江苏镇江 212003) 0 引 言 紫外光固化涂料是从20...
UV固化聚氨酯丙烯酸酯涂料的研制及其应用

UV固化聚氨酯丙烯酸酯涂料的研制及其应用

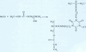
近年来,随着人们对环境保护和能源利用的不断重视,世界各国对传统溶剂型涂料中挥发性有机化合物( VOC) 的排放愈加限制,研制低污染环境友好型涂料已成为现阶段涂料业发展的主要方向之一...
新型紫外光固化涂料的研制

新型紫外光固化涂料的研制

新型紫外光固化涂料的研制 张晓蕾1 费学梅2 周海军1 李彦涛1 (1.河北省科学院能源研究所,石家庄050081; 2.衡水宝力工程橡胶有限公司,衡水053000) 涂料工业的发...
UV固化竹木基辊涂漆的研制

UV固化竹木基辊涂漆的研制

0 前言 紫外光固化涂料是一项快速发展的“绿色”新技术,其优点突出:无或低VOC 排放、节省能源、固化速度快、生产效率高、适合流水线生产、固化温度低、适合涂...
UV固化金属涂料用低聚物的合成及性能研究

UV固化金属涂料用低聚物的合成及性能研究

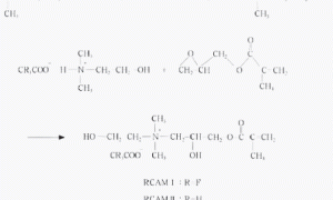
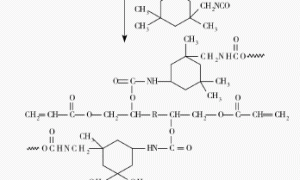
0 引言 UV 金属涂料在金属标牌装饰、易拉罐加工、金属饰板制造、铝合金门窗保护及钢管临时涂装保护等方面有较广泛的应用。UV 涂料应用于金属材料时常遇的问题就是涂层对金属的附着力不...
返回顶部