高泳透力电泳涂料在青汽驾驶室涂装线上的应用

高泳透力电泳涂料在青汽驾驶室涂装线上的应用

高泳透力电泳涂料在青汽驾驶室涂装线上的应用 中国第一汽车集团公司技术中心 宋 华 王路路  庞 虹 张 澍 一汽解放青岛汽车厂 田富国 据日本丰田资料介绍,通过采用高泳透...
高附着力丙烯酸阴极电泳涂料树脂的合成及应用

高附着力丙烯酸阴极电泳涂料树脂的合成及应用

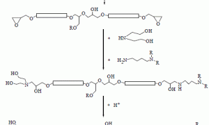
高附着力丙烯酸阴极电泳涂料树脂的合成及应用 邢炳亮1,孙宁1,黎耀鸿1,程建2 ( 1. 五邑大学化学与环境工程学院,广东江门529020; 2. 江门市制漆厂有限公司,广东江门5...
电泳涂膜“花斑”问题的解决

电泳涂膜“花斑”问题的解决

电泳涂膜“花斑”问题的解决 金 伟 王 浩 (上海大众汽车有限公司 201805) 葛 荣 吕宇飞 (上海巴斯夫涂料有限公司 200137) 于淑凤 (上海...
环氧–丙烯酸电泳漆的合成与应用

环氧–丙烯酸电泳漆的合成与应用

1 前言 本公司生产的重型汽车车架采用单件铆接、整体阴极电泳的方式涂装,其工艺流程简单概括为:预脱脂─脱脂─自来水洗─表调─磷化─自来水洗─纯水洗─电泳─超滤水洗─纯水洗─烘干。电...
环保型电泳漆的混槽置换

环保型电泳漆的混槽置换

环保型电泳漆的混槽置换 PPG涂料天津有限公司 潘良金 陈 频 南京菲亚特汽车有限公司 袁兆才 潘东明 随着环保要求的日益提高,目前国内很多汽车制造厂都已使用了环保型无铅电泳漆。南...
含氟丙烯酸酯阴极电泳涂料的制备及防腐性能

含氟丙烯酸酯阴极电泳涂料的制备及防腐性能

含氟丙烯酸酯阴极电泳涂料的制备及防腐性能 王韬 齐圣光 任碧野 朱雁 童真 (华南理工大学材料科学与工程学院, 广东广州510640) 阴极电泳( CED ) 涂料具有挥发性有机物...
电泳涂料用异氰酸酯固化剂的封闭剂

电泳涂料用异氰酸酯固化剂的封闭剂

电泳涂料用异氰酸酯固化剂的封闭剂 葛俊伟,胡剑青,陈震生,涂伟萍 (华南理工大学化工研究所,广州) 异氰酸酯封闭剂对异氰酸酯的封闭工艺、电泳涂料漆膜固化条件、漆膜性能等方面的影响都...
电泳漆二次流挂性检测方法及其应用

电泳漆二次流挂性检测方法及其应用

1 引言 同步工程(SE,Simultaneous Engineering)是对产品及其相关过程进行同步设计的一种系统的综合方法,要求设计者从一开始就考虑产品整个寿命周期中的全部要...
流平剂对阴极电泳漆性能和槽液稳定性的影响

流平剂对阴极电泳漆性能和槽液稳定性的影响

为了提高阴极电泳漆膜的外观质量, 五九所与庆铃汽车厂通力合作, 经过半年多的试验研究, 较好地解决了底漆的外观质量问题, 改进后的底漆与面漆的配套性能也达到了规定的技术指妊, 实现...
环保型低温固化阴极电泳涂料的研制

环保型低温固化阴极电泳涂料的研制

1 前言 阴极电泳涂料在汽车行业已获得广泛应用,全球绝大多数的汽车都采用阴极电泳涂料。随着整个汽车工业的发展,有关环保法规陆续出台,而且由于原材料价格的上涨,涂装成本的上升,使得新...
返回顶部