环保型低温固化阴极电泳涂料的研制

环保型低温固化阴极电泳涂料的研制

1 前言 阴极电泳涂料在汽车行业已获得广泛应用,全球绝大多数的汽车都采用阴极电泳涂料。随着整个汽车工业的发展,有关环保法规陆续出台,而且由于原材料价格的上涨,涂装成本的上升,使得新...
电泳涂料用液体聚丁二烯

电泳涂料用液体聚丁二烯

电泳涂料用液体聚丁二烯 王朝阳, 任碧野, 梁 栋, 童 真 ( 华南理工大学材料科学研究所, 广州 510640)      &...
环氧树脂阴极电泳涂料的研究

环氧树脂阴极电泳涂料的研究

 阴极电泳涂料的种类很多。目前应用最广的种类主要有:以双酚A 环氧树脂与有机胺的加成物为骨架的环氧型阴极电泳涂料、以丙烯酸酯类共聚物为主体的阴极电泳涂料和聚氨酯类阴极电泳涂料[1 ...
环氧丙烯酸阴极电泳涂料的研究

环氧丙烯酸阴极电泳涂料的研究

环氧丙烯酸阴极电泳涂料的研究 李田霞1, 陈 峰2  ( 1. 武汉大学东湖分校生命科学学院, 武汉430212;2. 武汉职业技术学院机电工程学院, 武汉430074)...
ED-5阴极电泳漆的应用和工艺管理

ED-5阴极电泳漆的应用和工艺管理

   下载:http://www.ctdisk.com/file/6733641
低电压对电泳漆膜的缓溶作用

低电压对电泳漆膜的缓溶作用

1 引言 近年来,电泳涂装在我国各个工业部门已获得了广泛的应用。普遍采用的电泳设备是单槽式(间歇)和自动流水线式(连续)。尽管这两种电泳槽的主体结构大同小异,但因为自动流水线式的机...
液体聚丁二烯阴极电泳涂料的研究

液体聚丁二烯阴极电泳涂料的研究

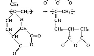
液体聚丁二烯阴极电泳涂料的研究 秦树超1,王金伟1,何业东1,李晓刚1,李丙霞2 (1.北京科技大学材料科学与工程学院,北京 100083;2.燕山集联化工公司,北京 102420...
聚丁二烯阴极电泳涂料配方研究

聚丁二烯阴极电泳涂料配方研究

聚丁二烯阴极电泳涂料配方研究 王新红1 ,夏 英1 ,刘建平1 ,潘治元2 ,顾明初2 (1. 大连轻工业学院化工与材料学院,辽宁大连 116034 ;2. 大连理工大学化工学院高...
浅谈电泳漆膜“缩孔”的排查和防治

浅谈电泳漆膜“缩孔”的排查和防治

浅谈电泳漆膜“缩孔”的排查和防治 谢银湖,李康,孙小忠,吕正方 (奇瑞汽车股份有限公司,安徽芜湖093112) 1 引言 在轿车电泳涂装中,缩孔是...
可二次电泳涂装的阴极电泳涂料制备

可二次电泳涂装的阴极电泳涂料制备

可二次电泳涂装的阴极电泳涂料制备 戴彦琳1, 范世宇2, 丁鹤群1, 张振华1, 李 蔚1   ( 1. 吉化集团吉林市江南研究院有限责任公司,吉林吉林132013; 2...
返回顶部