内掺金属皂类防水剂对混凝土防水和抗氯离子效果研究

内掺金属皂类防水剂对混凝土防水和抗氯离子效果研究

内掺金属皂类防水剂对混凝土防水和抗氯离子效果研究 姜蓉,张鹏,赵铁军,王龙军 (青岛理工大学土木工程学院,山东青岛266033) 0 引言 混凝土是一种多孔材料,其孔径在纳米至毫米...
乳化石蜡防水剂的合成及其在中/高密度纤维板生产中的应用

乳化石蜡防水剂的合成及其在中/高密度纤维板生产中的应用

近年来,我国中密度纤维板生产发展速度迅猛,造成中密度纤维板生产用的原辅材料紧缺。石蜡作为中密度纤维板生产的主要防水剂被广泛使用,同时石蜡的其他应用也很多,因此随着国际油价的不断攀升...
水泥砂浆混凝土防水剂在屋面防水中的应用

水泥砂浆混凝土防水剂在屋面防水中的应用

在细石混凝土中掺入由牡丹江市工业技术开发公司开发研制的QBZ - B1 型确必治水泥砂浆混凝土防水剂(以下简称QBZ 防水剂) ,可大大增加混凝土的和易性,并减少用水量,延缓水泥的...
烷基对有机硅防水剂性能的影响

烷基对有机硅防水剂性能的影响

烷基对有机硅防水剂性能的影响 郭庆中1 ,2  黄恒超2  伍 青1 (1. 中山大学化学与化学工程学院,广州510275 ;2. 广州市白云化工实业有限公司,广州510510) ...
无机水性水泥密封防水剂的功能和耐久性

无机水性水泥密封防水剂的功能和耐久性

1 引言 HM1500 无机水性水泥密封防水剂(以下简称HM1500防水剂) ,是根据建筑物刚性防水工程要求,结合我国资源等实际情况,研制开发而成的一种新型无机水性建筑防水材料。它...
抗裂防水剂对新旧混凝土界面结合的影响研究

抗裂防水剂对新旧混凝土界面结合的影响研究

抗裂防水剂对新旧混凝土界面结合的影响研究 水中和1 ,  秦明强1 ,  刘 佳2 ,  陈秋林2 (1. 武汉理工大学硅酸盐材料工程教育部重点实验室,湖北武汉 430070 ;2...
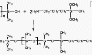
建筑用水性有机硅-聚氨酯嵌段共聚物防水剂

建筑用水性有机硅-聚氨酯嵌段共聚物防水剂

建筑用水性有机硅-聚氨酯嵌段共聚物防水剂 高传花,陈世龙,杨静,杨辉,张利安 (浙江凌志精细化工有限公司,浙江杭州311305) 0 前言 有机硅防水剂具有卓越的防水、防风化、防剥...
防水剂处理石料提高与沥青粘附性试验研究

防水剂处理石料提高与沥青粘附性试验研究

沥青与集料的粘附好坏直接影响到路面的使用质量和耐久性。研究二者界面间的相互作用,提高粘附性是防治沥青路面水损害发生的主要途径之一。玄武岩石质坚硬、致密、耐磨性强,能充分发挥集料间的...
复合型石膏防水剂的研究

复合型石膏防水剂的研究

复合型石膏防水剂的研究 张国辉1 尹斫2 罗萍2 李国忠1 ( 1. 济南大学材料学院, 济南250022 ; 2. 济南正昊化纤新材料有限公司PTA项目组, 济南250100 )...
《砂浆和混凝土防水剂》标准解读

《砂浆和混凝土防水剂》标准解读

1 修订背景及意义 2008 年12 月即将实施的《砂浆和混凝土防水剂》标准将代替JC 474—92 和JC 474—1999 这两个版本。2006 年6 ...
返回顶部