水性紫外光固化涂料的研究进展

水性紫外光固化涂料的研究进展

水性紫外光固化涂料的研究进展 高倩 胡卫雅 方锡武 裴文 (浙江工业大学化学工程与材料学院,杭州310014) 水性紫外光固化涂料(UVCC)一般由水性UV树脂(低聚物)、水、光引...
紫外光固化涂料的研究进展

紫外光固化涂料的研究进展

紫外光固化涂料的研究进展 徐国强, 胡 娜, 倪忠斌, 刘 仁, 陈明清* (江南大学化学与材料工程学院,江苏无锡214122)  紫外光(UV)固化涂料是德国拜耳公司于1968年...
紫外光固化脂环族环氧丙烯酸酯涂料的制备及性能

紫外光固化脂环族环氧丙烯酸酯涂料的制备及性能

紫外光固化脂环族环氧丙烯酸酯涂料的制备及性能 黎 朝, 祁元春, 张彦庆, 董擎之 ( 华东理工大学材料科学与工程学院, 上海市先进聚合物材料重点实验室,超细材料制备与应用教育部重...
PET窗膜用高耐磨紫外光固化涂料的制备

PET窗膜用高耐磨紫外光固化涂料的制备

PET窗膜用高耐磨紫外光固化涂料的制备 申文燕1 高建宾2 (1. 航天动力技术研究院经营发展部,西安 710025  2. 西安航天三沃化学有限公司,西安 710089...
UV固化涂料固化后黄变的探讨

UV固化涂料固化后黄变的探讨

UV 固化涂料经过紫外光照射,光引发剂吸收紫外光能产生活性自由基,进而引发活性单体和活性低聚物自由基聚合交联固化为不溶性固态膜[1]。本试验通过测试UV 清漆在紫外光固化后的不同时...
UV固化聚氨酯丙烯酸酯体系在涂料中的应用及发展

UV固化聚氨酯丙烯酸酯体系在涂料中的应用及发展

引言 聚氨酯丙烯酸酯(PUA)体系综合了聚氨酯树脂和丙烯酸酯树脂各自的优点,使得该体系具有耐溶剂性,耐低温性,耐磨性,耐热冲击性,柔韧性和良好的粘结性,成为目前研究比较活跃的体系。...
研磨条件对UV喷墨油墨分散性的影响

研磨条件对UV喷墨油墨分散性的影响

研磨条件对UV喷墨油墨分散性的影响 曹 进, 宗小顺, 黄蓓青, 魏先福, 倪平秀(北京印刷学院, 北京102600 ) 随着数字技术在打印及印刷行业的广泛应用,喷墨技术得到了迅速...
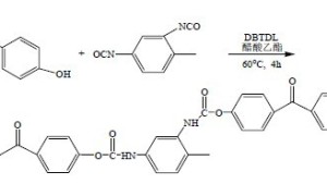
IPDI改性紫外光固化环氧丙烯酸酯涂料的研究

IPDI改性紫外光固化环氧丙烯酸酯涂料的研究

IPD I改性紫外光固化环氧丙烯酸酯涂料的研究 张晓蕾1 ,费学梅2 ,周海军1 ,刘会强3 ,李彦涛1  (11河北省能源研究所,石家庄050081; 21衡水宝力工程橡胶有限公...
光固化涂料在真空镀膜中的应用研究

光固化涂料在真空镀膜中的应用研究

 0 引言 真空镀膜主要通过真空蒸镀、溅射、离子镀等方法,将金属、合金和化合物镀覆在材料或制品表面,形成产品所要求的镀层。真空镀膜技术始于20 世纪30 年代,20 世纪...
UV固化塑料涂料中低迁移性光引发剂的研究进展

UV固化塑料涂料中低迁移性光引发剂的研究进展

UV 固化塑料涂料中低迁移性光引发剂的研究进展 王克敏1,肖浦1,任繁荣2,聂俊1 (1.北京化工大学材料科学与工程学院,北京100029;2.武汉市新洲一中学(高中)化学组,武汉...
返回顶部